Розв’язування вправ і задач на додавання і віднімання мішаних чисел

Додано: 9 листопада 2025
Предмет: Математика, 6 клас
11 запитань
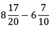
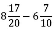
Запитання 1

Обчисліть вираз

варіанти відповідей
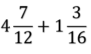
Запитання 2

Обчисліть вираз

варіанти відповідей
Запитання 3

Обчисліть вираз

варіанти відповідей
Запитання 4

Обчисліть

варіанти відповідей
Запитання 5

Обчисліть


варіанти відповідей
Запитання 6

Обчисліть


варіанти відповідей
Запитання 7

Обчисліть


варіанти відповідей
Запитання 8

Обчисліть


варіанти відповідей
Запитання 9

Знайдіть периметр трикутника, якщо сторони відповідно дорівнюють: 2 1/3 м(дві цілі одна третя), 1 2/9 м (одна ціла дві дев'яті), 2 6/27 м (дві цілі шість двадцять сьомих)


варіанти відповідей
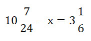
Запитання 10

Розв’яжіть рівняння


варіанти відповідей
Запитання 11

Обчисліть

варіанти відповідей

Створюйте онлайн-тести
для контролю знань і залучення учнів
до активної роботи у класі та вдома

Створити тест