Розв’язування задач за допомогою рівнянь

Додано: 16 квітня
Предмет: Математика, 6 клас
8 запитань
Запитання 1

Зошит з математики коштує на 5 грн більше, ніж зошит з інформатики. Разом за зошити потрібно заплатити 75 грн. Складіть рівняння для розв’язання задачі.

варіанти відповідей

5х+(х+5)=75

2х:5=75

х+5=75

х(х+5)=75

5х(х+5)=75

х+(х+5)=75

Запитання 2

За робочий день робітник на заводі виготовив втричі більше деталей ніж його колега. Відомо що разом вони виготовили 60 деталей. Складіть рівняння для розв’язання задачі.

варіанти відповідей

3х + 3=60

х + 3 +х=60

х + х +х=60

3х + х=60

3х - х=60

Запитання 3

Сума двох чисел дорівнює 135. Знайди більше з цих чисел, якщо одне з них на 35 більше, ніж друге.

варіанти відповідей

75

50

135

35

48

85

Запитання 4

За даним малюнком складіть рівняння. Та оберіть правильну відповідь

варіанти відповідей

х + х + 15 + х + 7=124

х + (х+7) + (х+15)=124

х + х +7+15=124

х+х+15+х+7=124

х - х + 15 - х + 7=124

х + 3х + 15 + 2х+7=124

Запитання 5

За даним малюнком складіть рівняння. Та оберіть правильну відповідь

варіанти відповідей

х + 4х=25

4х - х=25

4х : х=25

4х ⋅ х=25

х + 4 + х=25

2х +4 + 5 = 25

Запитання 6

Розв'яжи задачу:

Турист 3 год їхав на велосипеді і 2 год йшов пішки, подолавши за весь час38 км. З якою швидкістю йшов турист, якщо його швидкість на велосипеді на 6 км/год більша, ніж він йшов пішки?

Розв'язок запишіть і надішліть

варіанти відповідей

8 км/год

4 км/год

10 км/год

11,2 км/год

11 км/год

2 км/год

Запитання 7

На першій полиці було в 3 рази більше книг, ніж на другій. Коли з першої полиці переклали на другу 8 книг, то на обох полицях книг стало порівну.

Склади рівняння для розв'язання задачі, якщо через х позначили кількість книг на другій полиці.

варіанти відповідей
Запитання 8

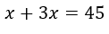
В одному ящику було на 3 кг яблук більше, ніж у другому. Скільки яблук було в кожному ящику, якщо в двох ящиках було 45 кг яблук.

Склади рівняння для розв'язання задачі, позначивши через х масу яблук в ящику, де яблук менше.

варіанти відповідей

Створюйте онлайн-тести
для контролю знань і залучення учнів
до активної роботи у класі та вдома

Створити тест