Середні пропорційні відрізки у прямокутному трикутнику. Властивість бісектриси

9 запитань
Запитання 1


Оберіть правильний варіант формули.

варіанти відповідей

BD² = AD ∙ DC

BD² =AC ∙ AD

BD² =AB ∙ AD

Запитання 2

Знайдіть висоту трикутника, проведену до гіпотенузи, якщо проекції катетів на гіпотенузу дорівнюють 16 і 25 см.

варіанти відповідей

80 см

20 см

41 см

Запитання 3

Який з відрізків є проекцією катета ВС на гіпотенузу?

варіанти відповідей

DC

AB

AD

Запитання 4

Оберіть правильний варіант формули.

варіанти відповідей

BC² = AC ∙ AD

BC² = AC ∙ DC

BC² = AB ∙ AD

Запитання 5

Бісектриса трикутника ділить сторону на відрізки, різниця довжин яких 1 см. Знайдіть периметр трикутника, якщо дві інші сторони дорівнюють 8 см і 6 см.

варіанти відповідей

21 см

12 см

33 см

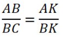
Запитання 6

ВК - бісектриса АВС. Яка з рівностей правильна?

варіанти відповідей
Запитання 7

Знайти катет прямокутного трикутника, якщо його проекція на гіпотенузу дорівнює 3 см, а гіпотенуза - 27 см.

варіанти відповідей

24 см

9 см

3 см

Запитання 8

Катет прямокутного трикутника дорівнює 8 см, а його проекція на гіпотенузу - 4см. Знайти гіпотенузу.

варіанти відповідей

16 см

12 см

32 см

Запитання 9

Які з рівностей є правильними?

варіанти відповідей

АС2= АD⋅АВ

АС2=АD⋅DВ

СD=АD⋅DВ

Створюйте онлайн-тести
для контролю знань і залучення учнів
до активної роботи у класі та вдома

Створити тест