Семестрова контрольна робота з математики. 6 клас І семестр

Додано: 12 січня
Предмет: Математика, 6 клас
8 запитань
Запитання 1

Обчисліть значення виразу

варіанти відповідей

5⅔

2,5

2

3⅓

Запитання 2

Розв'яжіть рівняння

варіанти відповідей

0,3

2,4

6⅔

0,15

Запитання 3

Розв'яжіть рівняння

варіанти відповідей

11/15

3

11 4/11

Запитання 4

З 2,5 кг соняшника отримують 1,8 кг чистого насіння. Скільки потрібно соняшника, щоб отримати 7,2 кг насіння?

варіанти відповідей

0,625 кг

51,84 кг

10 кг

8 кг

Запитання 5

Периметр трикутника дорівнює 52 см, а довжини сторін відносяться, як 7 : 9 : 10. Знайдіть довжини сторін трикутника.

варіанти відповідей

10 см, 19 см, 23 см

12 см, 16 см, 24 см

14 см, 18 см, 20 см

12 см, 17 см, 23 см

Запитання 6

Відстань між двома пунктами на місцевості дорівнює 330 км. Яка відстань між цими пунктами на карті, якщо її масштаб дорівнює 1 : 2 000 000?

варіанти відповідей

16,5 см

165 см

1,65 см

0,165 см

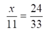
Запитання 7

Використовуючи основну властивість дробу, знайдіть х

варіанти відповідей

12

3

6

8

Запитання 8

Василь складає пропорцію з чисел 2; 4; 6; 12. Яка з рівностей є правильною пропорцією?

варіанти відповідей

2 : 12 = 4 : 6

4 : 2 = 6 : 12

2 : 6 = 4 : 12

4 : 6 = 2 : 12

Створюйте онлайн-тести
для контролю знань і залучення учнів
до активної роботи у класі та вдома

Створити тест