СР "Ділення раціональних чисел"

Додано: 18 березня
Предмет: Математика, 6 клас
9 запитань
Запитання 1

Обчислити: -51,34:17

варіанти відповідей

3,2

-3,2

3,02

-3,02

Запитання 2

Обчислити:  0:(-9+5)

варіанти відповідей

-4

4

0

-14

Запитання 3

Обчислити: -3,289 : (-1,3)

варіанти відповідей

25,3

2,53

-2,53

253

Запитання 4

Обчислити:

варіанти відповідей

-0,4

0,4

-2,5

1,5

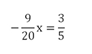
Запитання 5

 Розв'яжи рівняння

варіанти відповідей

¾

1⅓

-1⅓

Запитання 6

Розв'яжи рівняння (х - 0,3 )( 6,1 + х) = 0

варіанти відповідей

0,3

-0,3

6,1

- 6,1

0

6,4

Запитання 7

Складіть числовий вираз і обчисліть його значення:

від частки чисел -4,16 і 0,4 відняти добуток чисел 7⁄9 і 2 4⁄7.

варіанти відповідей

-2,4

-4

-10

-12,4

Запитання 8

Виконайте дії: 3,6 : (– 9) + (– 7,2) : (– 6) 

варіанти відповідей

1,2

-0,4

0,8

-1,6

Запитання 9

Знайди значення виразу (-2,48-(-5,63)) : (-0,9) + (-6)⋅(-0,15)

варіанти відповідей

-4,4

-2,6

-1,425

-2,2

Створюйте онлайн-тести
для контролю знань і залучення учнів
до активної роботи у класі та вдома

Створити тест