Operații cu fracțiile ordinatre / Вправи на всі дії зі звичайними дробами

Додано: 5 грудня 2025
Предмет: Математика, 6 клас
8 запитань
Запитання 1

Aflați câtul:

Знайдіть частку:

варіанти відповідей
Запитання 2

Efectuați înmulțirea fracțiilor:

Виконати множення дробів

варіанти відповідей
Запитання 3

Efectuați înmulțirea fracțiilor:

Виконати множення дробів

варіанти відповідей
Запитання 4

Rezolvă ecuația:

Розв'яжіть рівняння

варіанти відповідей

8/5

5/8

1 3/5

7/8

Запитання 5

Află valoarea expresiei:

Знайдіть значення виразу:

варіанти відповідей

9/8

8/9

1/9

1/8

Запитання 6

Ciclistul a parcurs 15 km, ceea ce reprezintă ⅗ din distanța dintre sat și oraș. Care este distanța dintre sat și oraș?


Велосипедист проїхав 15 км, що становить ⅗ відстані від села до міста. Яка відстань від села до міста?

варіанти відповідей

24 км

36 км

25 км

32 км

9 км

Запитання 7

Află valoarea valoarea expresiei:

Знайди значення виразу:

варіанти відповідей

1 ⅓

1 ½

1 ⅔

1 ¾

1 ⅙

1 ⅘

Запитання 8

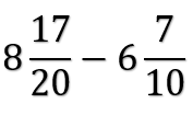
Calculați:

Обчисліть

варіанти відповідей

Створюйте онлайн-тести
для контролю знань і залучення учнів
до активної роботи у класі та вдома

Створити тест