Самостійна робота "Властивості тригонометричних функцій"

Додано: 17 грудня 2024
Предмет: Алгебра, 10 клас
9 запитань
Запитання 1

Областю визначеня функції y = sin x є:

варіанти відповідей

 [ -1;1 ]

R / π/2*k, k є Z

R / π*k, k є Z

R

Запитання 2

Областю значень функції y = cos x є:

варіанти відповідей

[ -1; 1 ]

 R

[ 0; 1 ]

[ -2; 1 ]

Запитання 3

Парною є функція:

варіанти відповідей

y = sin x

y = tg x

y = cos x

y =ctg x

Запитання 4

Найменший додатний період Т = 2π  мають функції:

варіанти відповідей

y = sin x

y = cos x

y = sin 2x

y = tg x

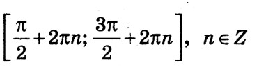
Запитання 5

Користуючись графіком функції y = sin x, укажіть проміжки, на яких функція спадає

варіанти відповідей
Запитання 6

Обчисліть sin750⁰

варіанти відповідей


½

√3/2

-√3/2

Запитання 7

Знайдіть найменший додатний період функції:

Фото розв'язку надішліть до Google classroom.

варіанти відповідей

π/2

π

Інша відповідь

Запитання 8

Порівняйте:

Фото розв'язку надішліть до Google classroom.

варіанти відповідей

>

<

=

Запитання 9

Порівняйте вираз з нулем: tg2⋅cos5

Фото розв'язку надішліть до Google classroom.

варіанти відповідей

>0

< 0

≤0

=0

Створюйте онлайн-тести
для контролю знань і залучення учнів
до активної роботи у класі та вдома

Створити тест