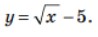
Розв*яжіть рівняння:

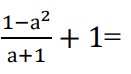
Спростіть вираз:
При якому значенні змінної не має змісту вираз
Виконайте ділення
Виконайте множення
Розв'яжіть рівняння
Розв'яжіть рівняння
Розв'яжіть рівняння
Спростіть вираз
Виконайте дії:
Подайте у вигляді многочлена вираз (a3+5b2)(a6-10a3b2+25b4)
Спростити вираз
(2а + 1)² – (2а – 3)(2а + 3) – 3а.
Щоб знайти 4/5 від 30, треба.....
Щоб знайти число,якщо 7/8 становить 63, треба...
У класі 24 учні. 2/3 учнів класу мають достатній рівень знань. Скільки учнів з достаннім рівнем.
На якому з рисунків зображено графік функції y=1−x2 ?
Яку функцію одержимо, якщо y=∜x паралельно перенесемо на 2 одиниці праворуч і на 3 одиниці вниз?
Обчислити (273 * 35)/97
Знайти значення виразу 810,25 - 90,5 - 0,2-2=
Скільки відсотків від години становить 24 хв ?
Укажіть рисунок, на якому може бути зображений фрагмент графіка функції
Спростіть вираз
Створюйте онлайн-тести
для контролю знань і залучення учнів
до активної роботи у класі та вдома