Арифметичний квадратний корінь

15 запитань
Запитання 1

Квадратним коренем із числа a називають

варіанти відповідей

число, при діленні якого на 2 дає a.

число, квадрат якого дорівнює а

число, яке у відповіді дає а

число, яке потрібно помножити або поділити на 2

Запитання 2

Яке твердження правильне?

варіанти відповідей

Квадратним коренем з числа а називають число, куб якого дорівнює а

Арифметичний квадратний корінь з числа а це невід'ємне число, квадрат якого дорівнює а.

Арифметичний квадратний корінь з числа а це число, квадрат якого дорівнює а.

Вираз √а має зміст при будь-яких значеннях а

Запитання 3

Яка з наведених рівностей неправильна?

варіанти відповідей

√25=5

√144=12

 √400=20

√16=8

Запитання 4

(√а) ² =

варіанти відповідей

√а

а²

а½

а

Запитання 5

Обчисліть √(-9)

варіанти відповідей

9

3

-3

не можна визначити

Запитання 6

Розвʼязати рівняння

х² = - 49

варіанти відповідей

розвʼязку немає

7

-7

-7 і 7

Запитання 7

Винесіть множник з-під знака кореня √12

варіанти відповідей

√6⋅√2

2√3

√3

√4⋅√3

Запитання 8

Знайти значення виразу

√32⋅√2 - √48⋅√3

варіанти відповідей

-80

4

-4

 80

Запитання 9

Які точки належать графіку функції у=√х?

варіанти відповідей

 А(0,9; 0,25)

 С(0,25;0,5)

 В(2;-2)

 D(1;0)

E(0; 0)

F(-4; 2)

G(4; 2)

Запитання 10

Знайдіть значення виразу √49-√25




варіанти відповідей

7

5

2

-2

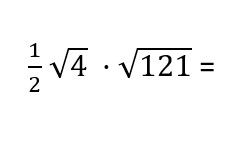
Запитання 11

Знайти значення виразу:

варіанти відповідей

11

-11

22

-22

Запитання 12

Знайдіть значення виразу

варіанти відповідей

-25

15

42

2

Запитання 13

Обчисліть арифметичний квадратний корінь


варіанти відповідей
Запитання 14

Знайдіть значення виразу


варіанти відповідей

6

9

7

8

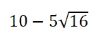
Запитання 15

Знайти значення виразу 

варіанти відповідей

10

-70

-10

70

Створюйте онлайн-тести
для контролю знань і залучення учнів
до активної роботи у класі та вдома

Створити тест