8 клас Розділ 5 "Алгоритми та програми" (1 частина - практика)

Додано: 26 березня 2025
Предмет: Інформатика, 8 клас
12 запитань
Запитання 1

Який результат виконання програми: print ('3+4=',3+4) ?

варіанти відповідей

3+4

("3+4")

"3+4" 

3+4= 7

7

Запитання 2

Оберіть результат виконання програми: print (4*5-2)

варіанти відповідей

4*5-2

4*5-2=18

18

12

Запитання 3

Яким буде результат виконання даної програми,якщо a=5,b=7?


a=int(input('Перше число='))

b=int(input('Друге число='))

s=a+b

print('s=',s)

варіанти відповідей

12

s= 12

s=a+b

's=',s

Запитання 4

Яким буде результат виконання даної програми, якщо a=3, b=6, c=9?


a=int(input('Уведіть перше число:'))

b=int(input('Уведіть друге число:'))

c=int(input('Уведіть трєте число:'))

S=(a+b+c)/3

print(S)

варіанти відповідей

Середнє арифметичне= 6.0

S=(a+b+c)/3

6.0

(6.0)

Запитання 5

Яким буде результат виконання даної програми, якщо a=241?


a=int(input('Уведіть трицифрове число,a='))

a1=a//100

a2=a//10%10

a3=a%10

S=a1**2+a2**2+a3**2

print(S)

варіанти відповідей

(21)

Сума квадратів чисел 21

21

S=a1**2+a2**2+a3**2

Запитання 6

Яким буде результат виконання даної програми, якщо a=1234?


a=int(input('Уведіть чотирицифрове число,a='))

a1=a//1000

a2=a//100%10

a3=a//10%10

a4=a%10

b=a4*1000+a3*100+a2*10+a1

print('Число в зворотному порядку=',b)

варіанти відповідей

4321

Число в зворотному порядку= 4321

b=a4*1000+a3*100+a2*10+a1

'Число в зворотному порядку=',4321

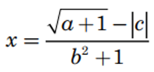
Запитання 7

Запишіть вираз даної формули таким чином, щоб її можна було обчислити мовою Рython.

варіанти відповідей

x=(abs(a+1)-sqrt(c))/(b**2+1)

x=(sqrt(a+1)-abs(c))/(b**2+1)

х=sqrt(a*b*c+a/b)+abs(a)

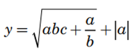
Запитання 8

Запишіть вираз даної формули таким чином, щоб її можна було обчислити мовою Рython.

варіанти відповідей

y=sqrt(a*b*c+a/b)+abs(a)

y=abs(a*b*c+a/b)+sqrt(a)

у=(sqrt(a+1)-abs(c))/(b**2+1)

Запитання 9

Яке значення отримає логічний вираз a > 8, якщо a = 5?

варіанти відповідей

False

True

Запитання 10

Яке значення отримає логічний вираз a > 4 and a + b <= 4, якщо a = 5, b = –2?

варіанти відповідей

False

 True

Запитання 11

Яке значення отримає логічний вираз not(not(a =5)), якщо

a = 5?

варіанти відповідей

False

True

Запитання 12

Яким буде результат виконання даної програми, якщо a=60?


a=int(input('a='))

if a==90:

  print('прямий')

else:

  if a<90:

    print('гострий')

  else:

    print('тупий')

варіанти відповідей

прямий

гострий

тупий

Створюйте онлайн-тести
для контролю знань і залучення учнів
до активної роботи у класі та вдома

Створити тест