Арифметичний квадратний корінь

Додано: 19 січня
Предмет: Алгебра, 8 клас
8 запитань
Запитання 1

Розв'язати рівняння: х2 - 5=-1

варіанти відповідей

2

-2

-2 ,2

16

Запитання 2

Коренями рівняння х2=144

варіанти відповідей

12, -12

1,2

1

72, -72

Запитання 3

Знайдіть значення виразу (-5√2)2

варіанти відповідей

50

-10

20

Інша відповідь

Запитання 4

Знайти значення виразу (√81)2

варіанти відповідей

9

81

9, -9

Запитання 5

Розв’яжіть рівняння: √х = ⅔

варіанти відповідей

інша відповідь

 -2/3

4/3

4/9

Запитання 6

Розв'язати рівняння: х2=-4

варіанти відповідей

розв'язків немає

-2

-2 ,2

16

Запитання 7

Обчислити значення виразу

варіанти відповідей

100

10

225

1

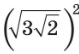
Запитання 8

Обчислити

варіанти відповідей

6

36

3√2

12

Створюйте онлайн-тести
для контролю знань і залучення учнів
до активної роботи у класі та вдома

Створити тест