Бліц-опитування "Функція у=k/х"

Додано: 26 листопада 2025
Предмет: Алгебра, 8 клас
6 запитань
Запитання 1

Серед функцій укажіть обернену пропорційність

варіанти відповідей
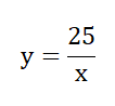
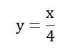
Запитання 2

Через яку з точок проходить графік функції

варіанти відповідей

А(6; 6)

В(12; 3)

С(-9; 4)

К(-18; -2)

Запитання 3

Знайдіть значення функції, якщо значення аргументу дорівнює 0,1

варіанти відповідей

25

0,25

250

2,5

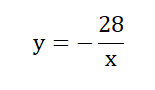
Запитання 4

Знайдіть значення аргументу, якщо значення функції дорівнює 0,6

варіанти відповідей

30

-30

-0,3

300

Запитання 5

У якій координатній чверті, розташований графік функції

варіанти відповідей

І і ІІ

ІІ і ІІІ

І і ІІІ

ІІ і ІV

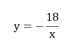
Запитання 6

Знайдіть область визначення функції

варіанти відповідей

усі числа, крім 0

усі числа, крім 0 і 28

усі числа, крім -28

усі числа, крім 28 і -28

Створюйте онлайн-тести
для контролю знань і залучення учнів
до активної роботи у класі та вдома

Створити тест