Степінь з цілим показником. Стандартний вигляд числа. Функція у=k/x.

10 запитань
Запитання 1

Подайте число у вигляді степеня

варіанти відповідей
Запитання 2

Подайте вираз у вигляді дробу

варіанти відповідей
Запитання 3

Обчисліть:

варіанти відповідей
Запитання 4

Спростіть вираз: 2,5a-5b7 ⋅ 4a7b-2

варіанти відповідей

0,1a2b5

10a2b5

10a-2b-5

a-9b14

Запитання 5

Яке з наведених чисел записане в стандартному вигляді?

варіанти відповідей

3⋅10-6

0,7⋅105

18⋅10-4

1/3⋅103

Запитання 6

Подайте у вигляді виразу, що не містить степеня з від’ємним показником:

(3,5a3b-7):(0,5a-4b-2)

варіанти відповідей

 7a7/b5

 7a7b-5

 7a7/b-5

 0,7a-1/b-9

Запитання 7

Подайте у вигляді виразу, що не містить степеня з від’ємним показником:


варіанти відповідей

216 b5

-216 b3

b3

6 b5

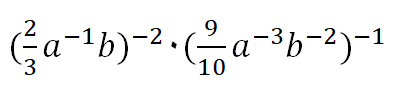
Запитання 8

Спростіть вираз:


варіанти відповідей

5/2 a5

5 a3 b2

9 a-3b-2

Запитання 9

Відома функція у= 6/х. Знайти значення аргументу, якщо значення функції дорівнює -2.

варіанти відповідей

 3

 

-3

 

-12

 

12

Запитання 10

Встановіть, чи належить точка В(-3; -7) графіку функції у=21/х?

варіанти відповідей


ні


 так

встановити неможливо

Створюйте онлайн-тести
для контролю знань і залучення учнів
до активної роботи у класі та вдома

Створити тест