Діагностична робота. Квадратні корені. Дійсні числа.

Додано: 6 березня
Предмет: Алгебра, 8 клас
11 запитань
Запитання 1

Яка з наведених точок належить графіку функції у=√х?

варіанти відповідей


А(4; 16)


С(81; 9)


 Д (9; 81)


В(-3; -9)

Запитання 2

Яке з наведених чисел є ірраціональним?

варіанти відповідей


√9


0,(22)

 √2


-√16

Запитання 3

Укажіть вираз, що не має змісту.

варіанти відповідей

 √17


√0

 √16


√-4

Запитання 4

Обчисліть:

варіанти відповідей
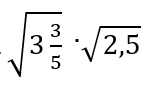
Запитання 5

Обчисліть:

варіанти відповідей

24

-24

-12

48

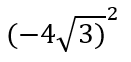
Запитання 6

Обчисліть:

варіанти відповідей

9

5

3

4

Запитання 7

Розв'яжіть рівняння:

варіанти відповідей
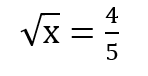
Запитання 8

Розв'яжіть рівняння:

варіанти відповідей

коренів немає

-1

0

1

Запитання 9

Розв'яжіть рівняння:

варіанти відповідей

8

4

-4 і 4

-8 і 8

Запитання 10

Яке з даних тверджень хибне?

варіанти відповідей


-7 - ціле число

-7 -ірраціональне число

-7- дійсне число


-7 - раціональне число

Запитання 11

Порівняйте числа:

¹/₂√40 і √13

варіанти відповідей

<

>

=

Неможливо встановити

Створюйте онлайн-тести
для контролю знань і залучення учнів
до активної роботи у класі та вдома

Створити тест