Діагностична робота No2 «Відсотки. Додавання і віднімання дробів з різними знаменниками та мішаних чисел»

12 запитань
Запитання 1

Як записується число 0,65 у вигляді відсотків?

варіанти відповідей

6,5%

65%

0,65%

650%

Запитання 2

Чому дорівнює 60% від 230?

варіанти відповідей

383,33

170

138

190

Запитання 3

Знайди число, якщо 8% його дорівнюють 24.

варіанти відповідей

84

33,33

1,92

300

Запитання 4

Як додати дроби з різними знаменниками?

варіанти відповідей

Звести до спільного знаменника, а потім застосувати правило додавання дробів з однаковими знаменниками

Звести до спільного знаменника, а потім окремо додати чисельники і окремо знаменники

Знаменником нового дробу буде сума знаменників, а чисельником - сума чисельників

Чисельники додати, а знаменником вибрати більше число

Запитання 5

Обчисли вираз

варіанти відповідей
Запитання 6

Обчисли вираз

варіанти відповідей
Запитання 7

Обчисли вираз

варіанти відповідей
Запитання 8

Обчисли вираз

варіанти відповідей
Запитання 9

Що означає скоротити дріб?

варіанти відповідей

 Поділити чисельник і знаменник на 2

 Поділити чисельник і знаменник на спільний дільник

 Помножити чисельник і знаменник на одне і те ж число

Запитання 10

Познач нескоротний дріб

варіанти відповідей

4/16

20/100

1/17

17/34

Запитання 11

Порівняй дроби

варіанти відповідей

<

>

=

неможливо визначити

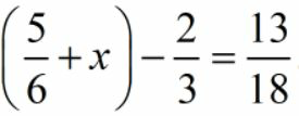
Запитання 12

Розв'яжи рівняння

варіанти відповідей

8/15

5/9

7/12

8/11

Створюйте онлайн-тести
для контролю знань і залучення учнів
до активної роботи у класі та вдома

Створити тест