Діагностична робота ʼʼРаціональні вирази. Раціональні дроби. Додавання та віднімання раціональних дробів з однаковими та різними знаменникамиʼʼ.

11 запитань
Запитання 1

Знайди найменший спільний знаменник для дробів

варіанти відповідей
Запитання 2

Виконайте віднімання дробів

варіанти відповідей
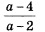
Запитання 3

Скоротити дріб

варіанти відповідей
Запитання 4

Виконайте дії

варіанти відповідей

-1

1

Запитання 5

Виконайте додавання дробів

варіанти відповідей
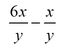
Запитання 6

Виконайте віднімання дробів

варіанти відповідей
Запитання 7

Відніміть дроби: 

варіанти відповідей

5m

m/3n

21m/5n

m/n

m/5n

Запитання 8

Виконай додавання

варіанти відповідей
Запитання 9

Основна властивість раціонального дробу:

варіанти відповідей

Дріб не змінюється, якщо чисельник і знаменник поділити на одне й те саме число (≠ 0).

Дріб не змінюється, якщо до чисельника і знаменника додати одне й те саме число.

Дріб не змінюється, якщо чисельник і знаменник піднести до одного степеня.

Дріб не змінюється, якщо чисельник замінити на знаменник.

Запитання 10

Знайти допустимі значення змінних раціонального виразу

варіанти відповідей

всі числа, крім -5  

 всі числа, крім 5

всі числа, крім 0

всі числа

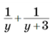
Запитання 11

Додайте дроби:

варіанти відповідей

Створюйте онлайн-тести
для контролю знань і залучення учнів
до активної роботи у класі та вдома

Створити тест