Діагностична робота з теми «Додавання і віднімання раціональних чисел. Розкриття дужок»(6клас)

19 запитань
Запитання 1

Виконати віднімання: 19,4-(-7,8)

варіанти відповідей

27,2

12,4

26,12

-11,6

Запитання 2

Виконати віднімання: 0-8,9

варіанти відповідей

-8,9

8,9

0

неможливо визначити

Запитання 3

Виконати віднімання: 4,6-9,2

варіанти відповідей

-4,6

4,6

-5,4

13,8

Запитання 4

Виконати віднімання: -24,8-16,2

варіанти відповідей

-41

-31

-8,6

-30,1

Запитання 5

Виконати віднімання: -5,3-(-12,16)

варіанти відповідей

6,86

-6,86

-7,13

7,13

Запитання 6

Виконати віднімання: 0-(-13,1)

варіанти відповідей

13,1

-13,1

0

неможливо знайти

Запитання 7

Виконати віднімання:

варіанти відповідей

19/66

-19/66

-47/66

-1

Запитання 8

Виконати віднімання:

варіанти відповідей

-13/14

-1/2

-7/28

-2/7

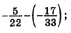
Запитання 9

Виконати віднімання:

варіанти відповідей

58/15

-12/15

-13/15

52/8

Запитання 10

Знайдіть значення виразу: -47+83-35+69

варіанти відповідей

70

-70

-234

інша відповідь

Запитання 11

Знайдіть значення виразу: -14,37-11,64-(-23,85)+(-18,03)

варіанти відповідей

-20,19

-2,16

-20,82

інша відповідь

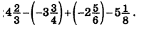
Запитання 12

Знайдіть значення виразу:

варіанти відповідей

11/24

-11/24

113/24

інша відповідь

Запитання 13

Розкрийте дужки та спростіть вираз: (х+2,3)-(х+7,8)

варіанти відповідей

-5,5

9,11

10,1

2х-5,5

Запитання 14

Розкрийте дужки та спростіть вираз: -(7,2-у)+(-у+1,6)

варіанти відповідей

-5,6

5,6

-2у-5,6

-8,8

Запитання 15

Розкрийте дужки та спростіть вираз: -(у-7,4+х)-(11,6-у)

варіанти відповідей

-х-4,2

-4,2

х+20

інша відповідь

Запитання 16

Виконай додавання

-6+ (-2)

варіанти відповідей

8

-8

4

-4

Запитання 17

Виконай додавання

-2,7 + (-3,1)

варіанти відповідей

-0,4

0,4

5,8

-5,8

Запитання 18

-8+5=

варіанти відповідей

3

-3

-13

-12

Запитання 19

7,2+ (-4,5)

варіанти відповідей

-2,7

3,3

2,7

-11,7

Створюйте онлайн-тести
для контролю знань і залучення учнів
до активної роботи у класі та вдома

Створити тест