Діагностика

Додано: 30 квітня 2025
Предмет: Математика, 9 клас
11 запитань
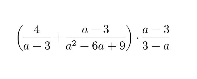
Запитання 1

.

варіанти відповідей

1

2

3

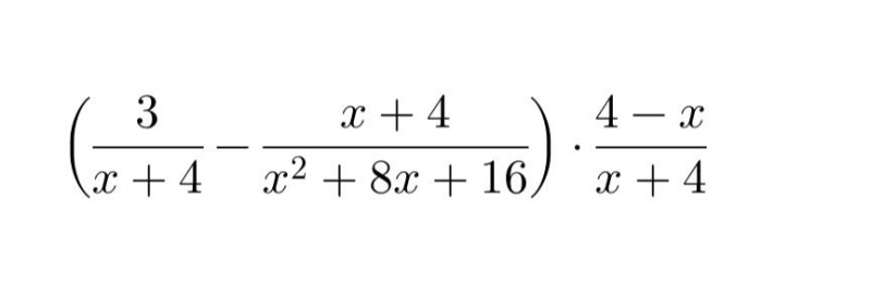
Запитання 2

.

варіанти відповідей

1

2

3

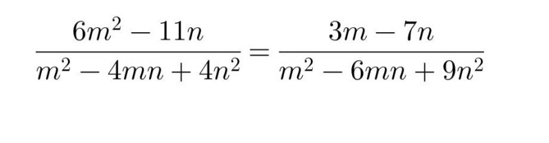
Запитання 3

.

варіанти відповідей

1

2

3

Запитання 4

.

варіанти відповідей

1

2

3

Запитання 5

ОТПОЧИНОК. Хай тобі грець із цими завданнями, Бога ти матерного цьо сі джеє на боїску ХА-ХА-ХА-ХА-ХА

варіанти відповідей

1

2

3

Запитання 6

.

варіанти відповідей

1

2

3

Запитання 7

.

варіанти відповідей

1

2

3

Запитання 8

ЗАСКАМІЛА МАМОНТАААААААА

варіанти відповідей

1

2

3

Запитання 9

.

варіанти відповідей

1

2

3

Запитання 10

.

варіанти відповідей

1

2

3

Запитання 11

Ну все закінчились муки катування Величної Олександри.

варіанти відповідей

1

2

3

Створюйте онлайн-тести
для контролю знань і залучення учнів
до активної роботи у класі та вдома

Створити тест