діагностика 9 клас

Додано: 20 лютого 2025
Предмет: Математика, 9 клас
10 запитань
Запитання 1

.

варіанти відповідей

1

2

3

Запитання 2

.

варіанти відповідей

1

2

3

Запитання 3

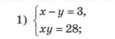
Розв'яжи методом підстановки

варіанти відповідей

1

2

3

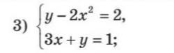
Запитання 4

Розв'яжи методом підстановки

варіанти відповідей

1

2

3

Запитання 5

То ти з таким обличчям переходиш до наступних завдань.

варіанти відповідей

1

2

3

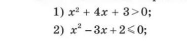
Запитання 6

.

варіанти відповідей

1

2

3

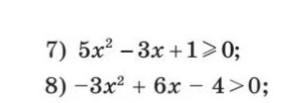
Запитання 7

.

варіанти відповідей

1

2

3

Запитання 8

Ще трохи і ти будеш виглядати так само як той кіт.

варіанти відповідей

1

2

3

Запитання 9

.

варіанти відповідей

1

2

3

Запитання 10

урааааааааааа вітаюююююююююююююю

варіанти відповідей

1

2

3

Створюйте онлайн-тести
для контролю знань і залучення учнів
до активної роботи у класі та вдома

Створити тест