05.11 8А Ділення раціональних дробів

Додано: 5 листопада 2025
Предмет: Алгебра, 8 клас
10 запитань
Запитання 1

Виконайте ділення: 6a²/b : 3a/b²


варіанти відповідей

1/2ab


2ab


18a3/b3


Запитання 2

Виконайте ділення:


 

варіанти відповідей

1

2

 n+3

 1/2

Запитання 3

Виконайте ділення:


 

  

 

  

варіанти відповідей

3/2

 p2/6

p/6

2/3

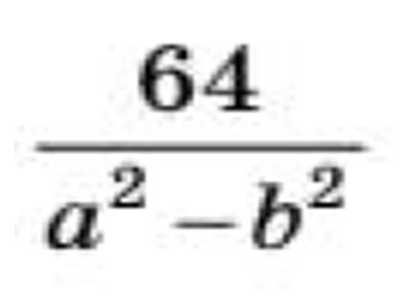
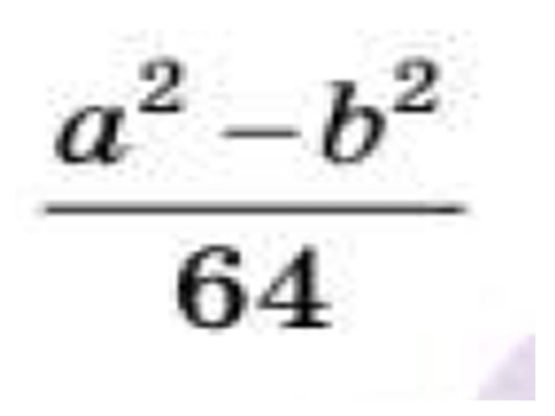
Запитання 4

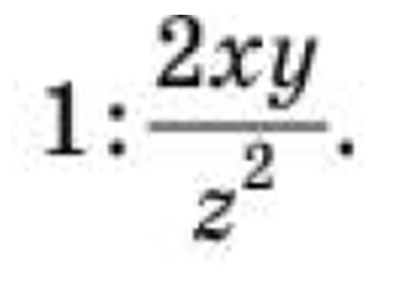
Виконайте ділення:

варіанти відповідей
Запитання 5

Спростіть вираз 4/x2 : 8x.

варіанти відповідей

3

32x3

1/(2х3)

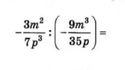
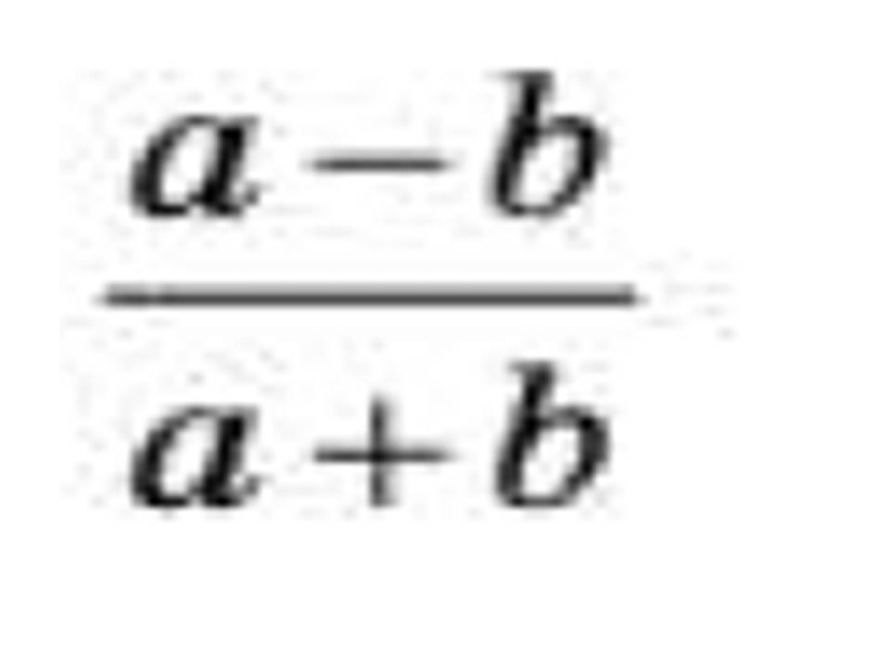
Запитання 6

Виконай ділення


варіанти відповідей
Запитання 7

Викнати ділення

варіанти відповідей
Запитання 8

Виконайте ділення:

варіанти відповідей

А

Б

В

Г

Д

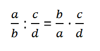
Запитання 9

Правило ділення звичайних дробів:

варіанти відповідей
Запитання 10

Який вираз є результатом ділення 5x/10y : x²/2y³?

варіанти відповідей

x/y²

x y²

​2x


y²/x

Створюйте онлайн-тести
для контролю знань і залучення учнів
до активної роботи у класі та вдома

Створити тест