Додатні та відємні числа. Число нуль

Додано: 12 січня
Предмет: Математика, 6 клас
20 запитань
Запитання 1

Вказати покази термометрів на малюнку: 

варіанти відповідей

-50; 20; 00; -40;30

-50; -20; 00; +40;-30

50; +20; 00; -40;-30

50; -20; 00; -40;30

Запитання 2

Знайти правильний запис повідомлення служби погоди

варіанти відповідей

1) -15 0 2) -20 3) 90 4)- 70

1) -150 2) 200 3) +9 0 4) 70

1) 150 2) -200 3) -90 4) 70

1) 150 2) -200 3) -90 4)- 70

Запитання 3

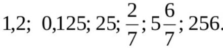
Записати від'ємні числа із зображення

варіанти відповідей

2061; 1545; 515

470 ; 1025; 2210

515; 470; 1025

2210; 2061; 1545

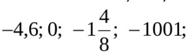
Запитання 4

За малюнком вказати недодатні числа

варіанти відповідей
Запитання 5

Вибери всі невід’ємні числа серед чисел –6; 10/3; +12,7; –100; 0.

варіанти відповідей

–6; 10/3; +12,7; –100; 0.

-6; -100

10/3; +12,7

10/3; +12,7; 0

Запитання 6

Вибери всі недодатні числа серед чисел 0; 0,5; –1/5; –110; +20,1

варіанти відповідей

0; 0,5; –1/5; –110; +20,1

0;-1/5;-110

0,5; +20,1

-1/5; -110

Запитання 7

Вибери всі від’ємні числа серед чисел –100/2; 0; 0,03; +78; –78

варіанти відповідей

-100/2; -78

-100/2; 0; -78

–100/2; 0; 0,03; +78; –78

0; 0,03; +78

Запитання 8

Термометр показує –10 ℃. Що покаже термометр, якщо температура зросте на 2 ℃?

варіанти відповідей

-8°С

8°С

-12°С

+12°С

Запитання 9

Термометр показує –4 ℃. Що покаже термометр, якщо температура зросте на 4 ℃?

варіанти відповідей

8°С

0°С

-8°С

4°С

Запитання 10

Термометр показує –1 ℃. Що покаже термометр, якщо температура зросте на 10 ℃?

варіанти відповідей

-10 ℃

10 ℃

-9 ℃

9 ℃

Запитання 11

Число нуль

варіанти відповідей

є додатнім

є від'ємним

є натуральним числом

не є ані додатним, ані від'ємним числом

Запитання 12

Серед чисел вибери додатні натуральні числа: -4; 56; 0; 4,5; -100, 100

варіанти відповідей

-100;100

56; 0

56;0;100

56;100

Запитання 13

серед записаних чисел визначити кількість цілих:

-18; 2⅓ ; 7; 5; -29; 0; -3,117; 4; 25; -9,2

варіанти відповідей

4

7

5

8

Запитання 14

В якому запису всі числа є від'ємними?


варіанти відповідей

 -5; 0; 4.


-5; 5; -1/2

-0,1; -5,6; - 10

0; -1; -2.

Запитання 15

Яку температуру покаже кожен із термометрів, якщо температура підніметься на 2 градуси?


варіанти відповідей

+2; +14; -8

+2; +10; -12

-2; +10; -8

-2; +14; -12

Запитання 16

Яку температуру покаже кожен із термометрів, якщо температура опуститься на 3 градуси?


варіанти відповідей

+3; +15; -7

-3; +9; -13

-3; +15; -13

+3; +9; -7

Запитання 17

Дано числа: 4¹/₅; 25; -4,1; 7; 0; -40; 0,008; 567; -¹/₂

Скільки від"ємних чисел є серед даних?

варіанти відповідей

5

4

3

6

Запитання 18

Вибери ТРИ правильні твердження:

варіанти відповідей

усі натуральні числа є додатними числами

0 — додатне число

усі натуральні числа є відʼємними числами

3,4; 8,45; 788; 1890,87543; 2 — додатні числа

5 — недодатне число

7 — невідʼємне число

Запитання 19

Вибери ДВА неправильні твердження:

варіанти відповідей

усі натуральні числа є недодатними числами

числа, перед якими записано знак плюс додатні

0; 5; 0,3; 125,125 — невідʼємні числа

+2;56;+6,89;3;+0,45678 — додатні числа

числа, перед якими записано знак мінус додатні

Запитання 20

Зранку 11 листопада температура повітря була 0°C, через 3 години повітря прогрілося до 6°C.

Вибери ДВА правильні твердження:

варіанти відповідей

стовпчик термометра опустився на 6 поділок

температура стала +6°C

температура стала −6°C

стовпчик термометра піднявся на 6 поділок

Створюйте онлайн-тести
для контролю знань і залучення учнів
до активної роботи у класі та вдома

Створити тест