ДР-1 Алгебра, 8 кл. " Повторення"

Додано: 22 вересня 2025
Предмет: Алгебра, 8 клас
14 запитань
Запитання 1

Розкладіть на множники: 5a2 – 45 b2



варіанти відповідей

5(а - 3b)(а + 3b)

5(а - 9b)(а + 9b)

5(а2 - 3b)(а2 + 3b)

5(а - 3b2)(а + 3b2)

Запитання 2

Сума двох чисел становить 81, а їх різниця дорівнює 15. Яка із систем відповідає умові задачі, якщо більше число х, а менше - у?

варіанти відповідей
Запитання 3

Розв'яжіть систему рівнянь методом додавання:



варіанти відповідей

(2;-1)

(-2;1)

(1;-1)

Інша відповідь

Запитання 4



З якого рівняння зручно виразити одну змінну через іншу для способу підстановки?

варіанти відповідей

першого

другого

з обох

жодного

Запитання 5

Виконайте дії:

х4х3:x5

варіанти відповідей

x7

x2

x3

x4

Запитання 6

Через яку з даних точок проходить графік рівняння 5х − 2у = 8 ?

варіанти відповідей

(-2; -5)

 (-1; 1)

(2; 1)

 (1; -1)

Запитання 7

Знайдіть значення функції у=3х-6, якщо х= - 2

варіанти відповідей

-12

12

0

1

Запитання 8

Розв`яжіть рівняння: x(8 - x) = (4 - x) (4+x)



варіанти відповідей

16

8

2

0

розв'язків немає

Запитання 9

Яке число є коренем рівняння -3x=15?

варіанти відповідей

-12

12

5

18

-5

Запитання 10

Яка з наведених рівностей є тотожністю:

варіанти відповідей

a2 + 2ab - b2 = (a+b)2

a2 - 2ab + b2= (a - b)2

a+ba-b=a+b2

Запитання 11

На якому з рисунків зображено графік функції y = x - 4?

варіанти відповідей
Запитання 12

Розкладіть на множники многочлен 9b + 6b2 + b3.

варіанти відповідей

(3b + 1)2

(b + 3)2

b(b + 3)2

3(b+1)2

3(b-1)2

Запитання 13

Укажіть пару чисел (x;y), що є розв`язком системи рівнянь

варіанти відповідей

(1;2)

(3;-1)

(-1;7)

(2;1)

(-1;3)

Запитання 14

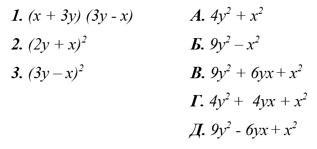
Установіть відповідність між виразами (1-4) і тотожно рівними їм виразами (А-Д).

варіанти відповідей

1. Б

2. А

3. Д

1. Б

2. А

3. В

1. Б

2. Г

3. Д

1. В

2. Г

3. Б

1. Д

2. А

3. Б

Створюйте онлайн-тести
для контролю знань і залучення учнів
до активної роботи у класі та вдома

Створити тест