Дроби НМТ

Додано: 3 вересня 2025
Предмет: Алгебра, 11 клас
46 запитань
Запитання 1

Цей дріб є взаємнооберненим до

варіанти відповідей
Запитання 2

2.

варіанти відповідей

1/6

5/3

1/8

8/19

Запитання 3

Яке з мішаних чисел дорівнює дробу:   

варіанти відповідей
Запитання 4

Обчислити та записати оберенне число

варіанти відповідей
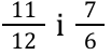
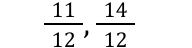
Запитання 5

Зведи дроби до найменшого спільного знаменника:

варіанти відповідей
Запитання 6

Вставте пропущене число

варіанти відповідей

27

21

9

18

Запитання 7

7 - 3,24

варіанти відповідей

4,24

3,64

3,76

4,76

Запитання 8

Обчисліть:

53,2 ⋅ 0,1 =

варіанти відповідей

532

0,532

5,32

53,2

0,0532

Запитання 9

Обчисліть:

0,032 ⋅ 10000 =

варіанти відповідей

0,0320000

0,32

0,0000032

320

32

Запитання 10

Виконайте округлення числа до сотих: 278,03782

варіанти відповідей

278,04

278,038

300

Інша відповідь

Запитання 11

З якою точністю округлили число

93,648 ≈ 93,65

варіанти відповідей

до сотень

до цілих

до сотих

до десятих

Запитання 12

Даний звичайний дріб перетворіть у десятковий

варіанти відповідей

3,4

0,34

0,12

0,75

Запитання 13

Обчисліть зручним способом та запишіть протилежне число : 9,8⋅5,5−1,8⋅5,5

варіанти відповідей

1/44

- 44

- 1/44

44

Запитання 14

Знайти значення виразу: (-259 + 1021) : 254 - 174 : (-6)

варіанти відповідей

-32

23

32

-23

Запитання 15

Серед наведених дробів укажіть найменший.

варіанти відповідей

54/55

53/54

52/53

51/52

50/51

Запитання 16

Обчислити

варіанти відповідей
Запитання 17

Розв'яжи рівняння:


варіанти відповідей
Запитання 18

Натуральні числа - це

варіанти відповідей

0, 1, 2, 3, 4, 5...

1, 2, 3, 4, 5...

-2, -1, 0, 1, 2, 3, 4, 5....

0,5; 1; 1,5; 2; 2,5...

Запитання 19

Знайдіть НСД(45;63)

варіанти відповідей

3

1

315

9

Запитання 20

Обчисліть НСК(30;36)

варіанти відповідей

90

120

150

180

Запитання 21

Знайдіть натуральне одноцифрове число а, коли відомо, що сума 510+а ділиться без остачі на 9.


варіанти відповідей

1

3

6

9

Запитання 22

Обчисліть -│-5|-(‒7)+14

варіанти відповідей

16

15

14

10

Запитання 23

Обчисліть значення виразу (│-8|-│‒2|):(-2)

варіанти відповідей

-3

-2

3

2

Запитання 24

Число 495 ділиться на:

варіанти відповідей

2

3

4

5

9

10

25

Запитання 25

Число 788 ділиться на:

варіанти відповідей

2

3

4

5

9

10

25

Запитання 26

Вибери серед поданих дробів найменший

варіанти відповідей

0,006

0,1

0,01

0, 03

Запитання 27

Між якими натуральними числами розташований дріб 45, 8

варіанти відповідей

45,7 і 45,9

45 і 46

46 і 47

45, 1 і 45,9

Запитання 28

Скільки сотих у числі 467.093

варіанти відповідей

6

9

0

7

Запитання 29

Скільки десятих у числі 38,425

варіанти відповідей

3

8

4

2

Запитання 30

Знайдіть суму

3,092 + 15,32.


варіанти відповідей

18,413

19,420

18,412

19,412

Запитання 31

Порівняй дроби 1,0001 і 1,00001

варіанти відповідей

>

<

=

не можливо порівняти

Запитання 32

Порівняй дроби

45,1203 і 45,1213

варіанти відповідей

>

<

=

не можливо порівняти

Запитання 33

Порівняй дроби

7,6000 та 7,6

варіанти відповідей

>

<

=

не можливо порівняти

Запитання 34

Запиши десятковим дробом

6/1000

варіанти відповідей

6,1

0,6

0,06

0,006

Запитання 35

7 - 3,24

варіанти відповідей

4,24

3,64

3,76

4,76

Запитання 36

Знайдіть суму

3,08+1,345   

варіанти відповідей

4,353

4,425

4745

3,453

Запитання 37

Виконайте дію:

0,036 · 0,4

варіанти відповідей

0,0144

0,144

Інша відповідь

14,4

Запитання 38

Обчисліть:

0,032 ⋅ 10000 =

варіанти відповідей

0,0320000

0,32

0,0000032

320

32

Запитання 39

Обчисліть:

53,2 ⋅ 0,1 =

варіанти відповідей

532

0,532

5,32

53,2

0,0532

Запитання 40

Обчисліть

0,125 •1000

варіанти відповідей

0.125

12,5

125

1250

Запитання 41

Обчисліть

76 ⋅ 0,001

варіанти відповідей

76

7,6

0,76

0,076

Запитання 42

Виконай обчислення

2,8 ∙ 9,1

варіанти відповідей

2548

254,8

25,48

2,548

Запитання 43

Виконай обчислення

0,0054 ∙ 1 000

варіанти відповідей

54000

0,054

0,54

5,4

Запитання 44

Знайти добуток

0,007 і 600

варіанти відповідей

0,42  

42

0,042

4,2

Запитання 45

56,4 · 0,1 =

варіанти відповідей

0,564

5640

5,64

564

Запитання 46

Обчисліть

варіанти відповідей

Створюйте онлайн-тести
для контролю знань і залучення учнів
до активної роботи у класі та вдома

Створити тест