Дробові та цілі вирази. Основна властивість дробу. Скорочення дробів.

Дробові та цілі вирази. Основна властивість дробу. Скорочення дробів.

Додано: 26 вересня 2025
Предмет: Алгебра, 8 клас
19 запитань
Запитання 1

Виберіть серед наведених виразів дробовийий вираз ?

варіанти відповідей
Запитання 2

При яких значеннях змінної не має змісту вираз

варіанти відповідей

0

3

7

4

Запитання 3

При яких значеннях змінної не має змісту вираз

варіанти відповідей

3

0;3

3;-3

-3

Запитання 4

Яке число не входить до області допустимих значень виразу?

варіанти відповідей

8

- 8

2

- 2

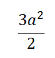
Запитання 5

Знайди значення виразу при у =7?

варіанти відповідей

1

½

¼

Запитання 6

Якщо чисельник і знаменник раціонального дробу помножити або поділити на один і той самий вираз, відмінний від нуля, то отримаємо

варіанти відповідей

нуль

дріб, що дорівнює даному

один

подвоєнний початковий дріб

Запитання 7

Щоб скоротити дріб, треба...

варіанти відповідей

виконати множення чисельника і знаменника на спільний множник

розкласти на множники чисельник і знаменник дробу, якщо це необхідно

виконати ділення чисельника і знаменника на їх спільний множник

записати відповідь

Запитання 8

Скоротіть дріб.

Надати розв'язання

варіанти відповідей

- ⅓

- 3

3

Запитання 9

Скоротіть дріб:

Надати розв'язання

варіанти відповідей
Запитання 10

Скоротіть дріб. НАДАТИ РОЗВ'ЯЗАННЯ

варіанти відповідей
Запитання 11

Скоротіть дріб

варіанти відповідей
Запитання 12

Скоротіть дріб

варіанти відповідей
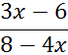
Запитання 13

При якому значенні х дорівнює нулю дріб Надати розв'язання

варіанти відповідей

х = -2

х = 2

х = 0

х = 3

Запитання 14

Скоротіть дріб Надати розв'язання

варіанти відповідей
Запитання 15

Зведіть дріб на картинці до знаменника 15x3.

варіанти відповідей
Запитання 16

Скоротіть дріб (15m2n)/(25mn2) Надати розв'язання

варіанти відповідей

15/25

3m/5n

m/n

5m/3n

Запитання 17

Який з наведених виразів є цілим?

варіанти відповідей
Запитання 18

Скоротіть дріб

варіанти відповідей
Запитання 19

Скоротіть дріб Надати розв'язання

варіанти відповідей

Створюйте онлайн-тести
для контролю знань і залучення учнів
до активної роботи у класі та вдома

Створити тест