Електрична напруга 8 клас

Додано: 26 лютого 2025
Предмет: Фізика, 8 клас
7 запитань
Запитання 1

Електрична напруга характеризує

варіанти відповідей

Силу струму

Роботу струму з переміщення заряду

Заряд, що пройшов через поперечний переріз провідника

Запитання 2

За якою формулою можна розрахувати роботу, яку виконує електричне поле під час проходження струму?

варіанти відповідей

q=A/U 

A=qU

U=A/q

Запитання 3

В яких одиницях вимірюють електричну напругу?

варіанти відповідей

Вольтах (В)

Кулонах (Кл)

Амперах (А)

Запитання 4

При силі струму 2 А на ділянці кола здійснена робота 20 Дж. Визначте напругу, якщо час виконання роботи 10 с.

варіанти відповідей

1 В

2 В

0.5 В

Запитання 5

Яку напругу показує вольтметр, зображений на рисунку?

варіанти відповідей

2 В

3,2 В

3 В

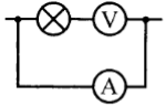
Запитання 6

На якому рисунку зображено правильне підключення амперметра та вольтметра?

варіанти відповідей
Запитання 7

За 5 с на ділянці кола здійснена робота 20 Дж. Визначте силу струму за напруги 2 В.

варіанти відповідей

2 А

1 А

3 А

5 А

Створюйте онлайн-тести
для контролю знань і залучення учнів
до активної роботи у класі та вдома

Створити тест