Електричний заряд. Електричне поле

Додано: 13 березня
Предмет: Фізика, 8 клас
22 запитання
Запитання 1

Як позначають електричний заряд та якими одиницями його вимірюють?

варіанти відповідей

N, одиниць вимірювання немає

e, Н

E, Н/Кл

q, Кл

Запитання 2

Який заряд мають підвішені на нитках кульки?

варіанти відповідей

обидві негативний

обидві позитивний

одна позитивний, а друга негативний

кульки заряду не мають

Запитання 3

Яка система тіл називається електрично замкненою?

варіанти відповідей

в якій тіла взаємодіють під час тертя

по якій проходить електрика

в якій тіла діляться своїми електричними зарядами

в яку не проникають заряджені частинки ззовні і яка не втрачає власних заряджених частинок

Запитання 4

Яка частинка є носієм найменшого негативного заряду?

варіанти відповідей

електрон

протон

нейтрон

атом

Запитання 5

Що означає вираз ''тіло наелектризоване''?

варіанти відповідей

Його потерли тканиною;

його наелектризували;

йому надали електричний заряд;

інша відповідь.

Запитання 6

Які види електричних зарядів існують в природі?

варіанти відповідей

Позитивні;

негативні;

позитивні і негативні;

дотатні

від'ємні

Запитання 7

Чим пояснюється електризація тіл?

варіанти відповідей

Відсутністю будь - яких зарядів;

переміщення негативних зарядів;

переміщення позитивних зарядів;

інша відповідь

Запитання 8

Який заряд має ядро?

варіанти відповідей

Негативний;

позитивний;

нейтральний;

може бути негативний, а може - позивний.

Запитання 9

Який заряд у протона?

варіанти відповідей

Позитивний;

негативний;

нейтральний;

інша відповідь.

Запитання 10

Електричні заряди не діють один на одного безпосередньо. Кожен з них створює навколо себе в середовищі:

варіанти відповідей

поле;

світло;

вакуум;

матерію.

Запитання 11

У міру віддалення від заряду його поле:

варіанти відповідей

посилюється;

послаблюється;

не змінюється;

коливається.

Запитання 12

Силова характеристика електричного поля

варіанти відповідей

напруга

напуженість

електризація

заряд

Запитання 13

Прилад для фіксації наявності електричного поля називається

варіанти відповідей

електроскоп

електрометр

барометр

динамометр

Запитання 14

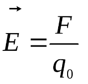
Напруженість електричного поля можна знайти за формулою...

варіанти відповідей
Запитання 15

Запитання 4

Шерсть заряджається позитивно внаслідок тертя ебонітової палички об

неї. Це пояснюється тим, що

варіанти відповідей

електрони переходять з палички на шерсть

протони переходять з палички на шерсть

 електрони переходять із шерсті на паличку

 протони переходять із шерсті на паличку

Запитання 16

Яке значення має елементарний заряд?

варіанти відповідей

1,6 ⋅ 10 −19 Кл

1,6 ⋅ 10+19 Кл

1,6 ⋅ 10 −18 Кл

Запитання 17

Як змінюється сила взаємодії двох зарядів при збільшенні відстані між ними вдвічі?

варіанти відповідей

Збільшиться в 4 рази

Зменшиться в 4 рази

Зменшиться в 2 рази

Не зміниться

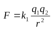
Запитання 18

Оберіть математичний вигляд закону Кулону.

варіанти відповідей
Запитання 19

Як з грецької перекладається слово «електрон»?

варіанти відповідей

Частина

Бурштин

Негативний

Маленький 

Запитання 20

Яка формула визначає заряд тіла?

варіанти відповідей

q=Ne

q=F/m

q=U/I

q=W/t

Запитання 21

Вкажіть вираз, що є математичним записом закону збереження заряду:

варіанти відповідей

а) q1−q2=const;

б) q1−q2 −…−qn=const; 

в) F1+F2 +…+Fn=const; 

г) q1+q2 +…+qn=const; 

Запитання 22

Якого заряду не можна надати тілу?

варіанти відповідей

а) -2,5е;

б) −e;

в) +e;

г) −100e.

Створюйте онлайн-тести
для контролю знань і залучення учнів
до активної роботи у класі та вдома

Створити тест