Електричний заряд. Закон Кулона

Додано: 18 лютого 2025
Предмет: Фізика, 8 клас
25 запитань
Запитання 1

Який заряд має друга паперова гільза, якщо перша заряджена позитивно? 

варіанти відповідей

Не має заряду

Позитивний

Негативний

Запитання 2

Одиниця вимірювання електричного заряду?

варіанти відповідей

Н

Па

Кл

Дж

Запитання 3

Електричний заряд - це фізична величина, що кількісно характеризує...

варіанти відповідей

властивість частинок і тіл вступати в електричну взаємодію

властивість частинок і тіл вступати в гравітаційну взаємодію

властивість частинок і тіл вступати в магнітну взаємодію

властивість частинок і тіл вступати в позитивну взаємодію

Запитання 4

Як позначається заряд?

варіанти відповідей

g

F

A

q

Запитання 5

Яка елементарна частинка є носієм найменшого негативного заряду?

варіанти відповідей

протон

нейтрон

електрон

Запитання 6

Вкажіть знаки заряду кульок:

варіанти відповідей

однакові

протилежні

можуть бути і однакові, і протилежні

на кульках заряду немає

Запитання 7

Під час електризації тертям...

варіанти відповідей

обидва тіла набувають позитивного заряду 

обидва тіла набувають негативного заряду

тіла набувають різнойменні заріди

тіла не електризуються

Запитання 8

Які елементарні частинки переміщуються при електризації?

варіанти відповідей

атоми

протони

електрони

іони

Запитання 9

Вкажіть форму матерії, через яку здійснюються електричні

взаємодії:

варіанти відповідей

магнітне поле;

гравітаційне поле;

електричне поле;

такої форми матерії на існує.

Запитання 10

Два однакових електрометри А і В мають електричні заряди qA= –15 Кл і qВ = + 5 Кл відповідно. Чому стануть рівні їх заряди, після з'єднання електрометрів провідником? 


варіанти відповідей

-20 Кл

-10 Кл

20 Кл

-5 Кл

Запитання 11

Як зміниться сила взаємодії між двома зарядами, якщо величина одного з зарядів збільшиться вдвічі?

варіанти відповідей

збільшиться в 4 рази

збільшиться в 2 рази

зменшиться в 4 рази

зменшиться в 2 рази

Запитання 12

Атом, ядро якого має 12 протонів, утратив 2 електрони. Скільки електронів залишилось в атомі?

варіанти відповідей

8

6

10

14

Запитання 13

Як зміниться сила взаємодії двох точкових зарядів, якщо модуль кожного з них збільшити у 2 рази?

варіанти відповідей

зменшиться у 4 рази

збільшиться у 4 рази

збільшиться у 2 рази

зменшиться у 2 рази

Запитання 14

Як зменшити заряд електрона наполовину?

варіанти відповідей

З'єднати електрон з незарядженим тілом

Додати до нього такий же само додатній заряд

Додати до нього такий же само від'ємний заряд

Заряд електрона зменшити неможливо

Запитання 15

Скільки електронів віддало тіло, якщо воно набуло заряд 40 ⋅10-19 Кл. Який вид заряду

варіанти відповідей

40, позитивний

25, негативний

25, позитивний

40, негативний

Запитання 16

Якщо тіло заряджене позитивно то в ньому ...

варіанти відповідей

надлишок протонів

надлишок електронів

нестача протонів

нестача електронв

Запитання 17

Якщо тіло заряджене негативно то в ньому ...

варіанти відповідей

надлишок електронів

нестача електронів

нестача протонів

надлишок протоні

Запитання 18

Згідно формули електричного заряду q=N⋅e. Знайди заряд тіла, якщо його покинуло 109 електронів. (Значення елементарного заряду е=1.6⋅10-19Кл).

варіанти відповідей

q = 1.6⋅1010 Кл

q = - 1.6⋅1010 Кл

q = 1.6⋅10-10 Кл

q= - 1.6⋅10-10 Кл

Запитання 19

Чому дорівнює електричний коефіцієнт?

варіанти відповідей

q = + 1.6⋅10-19 Кл

q = - 1.6⋅10-19 Кл

k = 9⋅10-9 (Н⋅м2)/Кл2

k = 9⋅109 (Н⋅м2)/Кл2

Запитання 20

Визначте, як зміниться сила взаємодії двох точкових зарядів

у вакуумі, якщо відстань між ними збільшити в 2 рази:


варіанти відповідей

не зміниться;

збільшиться в 2 рази;

зменшиться в 2 рази;

зменшиться в 4 рази.

Запитання 21

Вкажіть назву електризації тіл під дією електричного поля:

варіанти відповідей

електризація тертям;

електризація дотиком;

електризація через вплив;

електризація навіюванням

Запитання 22

Який знак заряду мають дві заряджені кульки

варіанти відповідей

обидві заряджені позитивно

 

 а) негативно; б) позитивно

а) позитивно; б) негативно

 обидві заряджені негативно

Запитання 23

Як називається сила, з якою взаємодіють точкові заряди?

варіанти відповідей

Сила Ньютона

Сила Ампера

Сила Кулона

Сила Лоренца

Запитання 24

Якою буквою позначають відстань між точковими зарядами?

варіанти відповідей

F

q

r

ε

Запитання 25

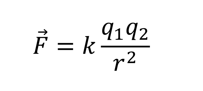
виберіть математичний запис закону Кулона

варіанти відповідей

Створюйте онлайн-тести
для контролю знань і залучення учнів
до активної роботи у класі та вдома

Створити тест