Функція y = x², її властивості та графік

Додано: 20 січня
Предмет: Алгебра, 8 клас
4 запитання
Запитання 1

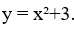
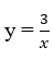
Графіком якої з наведених функцій є парабола з вершиною в точці (0;0)?

варіанти відповідей
Запитання 2

Функцію задано формулою y=x². Знайдіть значення y, якщо х = - 2½

варіанти відповідей
Запитання 3

Яке твердження є неправильним?

варіанти відповідей

Областю визначення функції y=x² є всі числа

Графіком функції y=x² є парабола

Функція y=x² може набувати від’ємних значень

Точка (-1; 1) належить графіку функції y=x²

Запитання 4

Визначте рівняння, розв’язання якого зображене на рисунку

варіанти відповідей

x² = x - 2

x² = x + 2

x² = 2x + 1

x² = - x + 2

Створюйте онлайн-тести
для контролю знань і залучення учнів
до активної роботи у класі та вдома

Створити тест