Інтеграл та його застосування

Додано: 2 грудня 2025
Предмет: Алгебра, 11 клас
9 запитань
Запитання 1

Укажіть загальний вигляд первісної для функції f (x) = cos 3 x.



варіанти відповідей

-⅓ sin 3x + c

⅓ sin 3x + c

3 sin 3x + c

– 3 sin 3x + c

sin 3x + c

Запитання 2

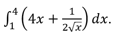
Обчисліть: 

варіанти відповідей

24

16

4

8

6

Запитання 3

Обчисліть площу фігури, обмеженої лініями у = х2, у = 0, х = 3.

варіанти відповідей

9

4

8

5

1

Запитання 4

Укажіть первісну для функції f(x) = 6 х5, графік якої проходить через

точку А(2; 65).

варіанти відповідей

F(x) = x6 – 1 

F(x) = x6 + 3 

F(x) = 6x6 – 1

F(x) = 30x6 – 12

F(x) = x6 + 1

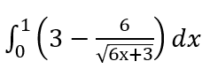
Запитання 5

Обчисліть: 

варіанти відповідей

31

29

30

32

33

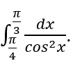
Запитання 6

Обчисліть: 

варіанти відповідей

√3 - 1

1 - √3

√3

1

2

Запитання 7

Обчисліть: 

варіанти відповідей

8

-3

3

0

1

-1

Запитання 8

Знайдіть площу фігури, обмеженої лініями: у = 5 – х2, у = 3 – х.

варіанти відповідей

5

3,5

4

4,5

3,75

5,25

Запитання 9

Тіло рухається прямолінійно зі швидкістю v(t) = 3 t2 +1 м/с . Знайдіть шлях, пройдений тілом за проміжок часу від t = 0 с до t = 4 с. 

варіанти відповідей

68

64

47

81

16

Створюйте онлайн-тести
для контролю знань і залучення учнів
до активної роботи у класі та вдома

Створити тест