ТКР 2 "Степенева функція. Ірраціональні рівняння."

Додано: 15 листопада 2022
Предмет: Алгебра, 10 клас
Тест виконано: 86 разів
34 запитання
Запитання 1

Запишіть степінь з дробовим показником у вигляді кореня

70,25

варіанти відповідей

∜7

∜72

7

√7

Запитання 2

Замініть степенем з дробовим показником

варіанти відповідей
Запитання 3

Обчисліть

варіанти відповідей

18

3

6

1/3

Запитання 4

Розв'яжіть рівняння ( х-2)0,5=6

варіанти відповідей

8

38

36

6

Запитання 5

Порівняйте числа 1,5-0,3 і 1,8-0,3

варіанти відповідей

1,5-0,3 = 1,8-0,3

порівняти неможливо

1,5-0,3 < 1,8-0,3

1,5-0,3 >1,8-0,3

Запитання 6

Розв'яжіть рівняння х-6=0

варіанти відповідей

2 і -3

2

8 і -27

6

Запитання 7

Функцію задано формулою ƒ(х) = х-0,75. Чому дорівнює ƒ(81)?

варіанти відповідей

1/27

1/9

-27

-9

Запитання 8

Наякому малюнку зображено графік непарної функції

варіанти відповідей
Запитання 9

Порівняйте ∛11 і √5

варіанти відповідей

∛11 = √5

∛11 > √5

∛11 < √5

неможливо порівняти

Запитання 10

Вкажіть на рисунку графік парних функцій

варіанти відповідей
Запитання 11

Користуючись графіком функції, що зображений на рисунку, вкажіть усі правильні твердження

варіанти відповідей

 Функція зростає на всій області визначення

Функція спадає на всій області визначення

Функція не визначена в точці х=0

 у<0, якщо хє(-∞; 0)

Функція має кілька нулів

Запитання 12

Внести множник під знак кореня

варіанти відповідей
Запитання 13

Винести множник з-під знака кореня

варіанти відповідей

Не знаю

Запитання 14

Знайдіть значення виразу:

варіанти відповідей

2

4

16

64

Запитання 15

Дослідіть функцію у = 5х2 + 3х4 на парність

варіанти відповідей

парна  

непарна   

 ні парна, ні непарна 

неможливо визначити

Запитання 16

Вкажіть усі нулі функції

варіанти відповідей

 -1

  -2; 0

  -2; 0; 3;

 -1; 2

Запитання 17

Спростити

варіанти відповідей
Запитання 18

Установіть відповідність між функцією та її областю визначення

варіанти відповідей

1-Г, 2-Б, 3-В

1-А, 2-Б, 3-В

1-А, 2-В, 3-Б

1-Г, 2-А, 3-В

1-Г, 2-Б, 3-А

Запитання 19

Скоротити дріб 

варіанти відповідей

1/(х0,50,5)

х0,50,5

Запитання 20

Укажіть графік функції

у=х-2

варіанти відповідей
Запитання 21

Укажіть графік функції

у=х1/2

варіанти відповідей
Запитання 22

Укажіть графік функції

у=х3

варіанти відповідей
Запитання 23

укажіть графік функції

у=х-3

варіанти відповідей
Запитання 24

укажіть графік функції

у=х1/3

варіанти відповідей
Запитання 25

укажіть графік функції

у=-х55

варіанти відповідей
Запитання 26

На рисунку зображений графік деякої функції, заданої на проміжку [-5;6]. Укажіть проміжок зростання цієї функції.

варіанти відповідей

[1;5]

[-2;3]

[-3;3]

[-3;1]

[-5;6]

Запитання 27

Обчисліть f(-3), якщо f(х)=√(х2+16)

варіанти відповідей

-7

-5

√7

5

7

Запитання 28

Яке з наведених чисел є раціональним?

варіанти відповідей

√16/19

√0,36

√π2

√(3+2√2)

√2+√3

Запитання 29

Графік якої з функцій зображено на рисунку?

варіанти відповідей

y=√x - 6

y=x² + 6

y=√x + 6

 y=x² - 6

Запитання 30

Розв′яжіть рівняння , використовуючи метод заміни

варіанти відповідей

х=5

х= 5; х= -1, 5

х= 25; х= 2,25

х= 25

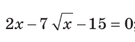
Запитання 31

Розв′яжіть рівняння

варіанти відповідей

х = 2; х= 1

х = 2

х= 1

х = -2; х= -1

Запитання 32

Розв′яжіть рівняння

варіанти відповідей

х= 1,2

х = 2

х= - 1,2

Коренів немає

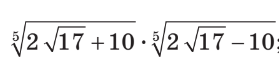
Запитання 33

Спростити вираз

варіанти відповідей

- 2

- 32

2

32

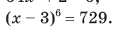
Запитання 34

Розв′яжіть рівняння

варіанти відповідей

х= 0

х = 6; х= 0

х = 6

х = 732

Створюйте онлайн-тести
для контролю знань і залучення учнів
до активної роботи у класі та вдома

Створити тест