СН Комплексна підсумкова робота № 1 з теми «Прості механізми. Момент сили».гр.3

Додано: 24 жовтня 2025
Предмет: Фізика, 8 клас
6 запитань
Запитання 1

Щоб підняти відро з криниці масою 15 кг, учень використав систему з одного нерухомого і одного рухомого блоків. Яку силу йому потрібно докласти? (Вважати g = 10 м/с²).

варіанти відповідей

Вага відра: P=m⋅g=15 кг⋅10 м/с2=150 Н.

Вага відра: P=m⋅g=1,5 кг⋅10 м/с2=15 Н.

Система з одного рухомого і одного нерухомого блоків дає виграш у силі в 2 рази.

Система з одного рухомого і одного нерухомого блоків дає виграш у силі в 3 рази.

Система з одного рухомого і одного нерухомого блоків не дає виграшу в силі.

Сила, яку потрібно докласти: F=P/2, F=150 Н/2=75 Н.

Сила, яку потрібно докласти: F=P/2, F=15 Н/2=7,5 Н.

Сила, яку потрібно докласти: F=P, F=150 Н/.

Запитання 2

Визначте силу, необхідну для підняття вантажу масою 100 кг на висоту 0,5 м за допомогою похилої площини довжиною 2 м.

варіанти відповідей

100 Н

250 Н

1000 Н

4 Н

Запитання 3

За якою формулою розраховується виграш у силі для похилої площини?

варіанти відповідей

F1/F2=h/l

F1*F2=h*l

F1/F2=l/h

F1+F2=l+h

Запитання 4

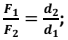
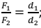
Яка формула визначає умову рівноваги важеля?

варіанти відповідей
Запитання 5

Клин зображено на малюнку ...

варіанти відповідей

1

2

3

4

5

6

Запитання 6

Одиницею вимірювання моменту сили є ...

варіанти відповідей

Н

м

Нм

Нм2

Створюйте онлайн-тести
для контролю знань і залучення учнів
до активної роботи у класі та вдома

Створити тест