Комплексна підсумкова робота "Квадратний тричлен. Розв'язування задач за допомогою дробових раціональних рівнянь"

Додано: 24 квітня
Предмет: Алгебра, 8 клас
14 запитань
Запитання 1

Розв'язати рівняння: х4 - 24х2 - 25 = 0.

варіанти відповідей

-1; 25.

-5; -1; 1; 5.

-5; 5.

-1; 1.

Запитання 2

Розкласти квадратний тричлен х2 -14х + 49 на лінійні множники. 

варіанти відповідей

(х - 7)(х + 7)

 (х - 7)(х + 1)

(х - 1)(х + 7)

 (х - 7)2

Запитання 3

Формула розкладу квадратного тричлена на лінійні множники має такий вигляд:

варіанти відповідей

  ax2 + bx + c = a(x - x1)(x - x2)

ax2 + bx + c = -a(x - x1):(x - x2)

ax2 + bx + c = -a(x - x1)(x - x2)

 ax2 + bx + c = b(x - x1)(x - x2)

Запитання 4

Який із наведених виразів є квадратним тричленом?

варіанти відповідей

 2х3 + 3х2 +7

х2: 3х -6

2х + 5х -9

 9х2+6х+1

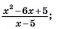
Запитання 5

Скоротіть дріб:

варіанти відповідей

х+5

х-5

х+1

х-1

Запитання 6

Назвати коефіцієнти квадратного тричлена 2х2- 3х +7

варіанти відповідей

а = -2, b =-3, с = -7

а = 2, b =-3, с = 7

 а = -2, b =-3, с = 7

а = 2, b = -3, с = -7

Запитання 7

Розкласти на множники квадратний тричлен 2х2-5х-3

варіанти відповідей

2(х+0,5)(х-3)

(2х-1)(х-3)

2(х-1)(х+5)

 (2х-1)(х+3)

Запитання 8

Скоротити дріб

варіанти відповідей
Запитання 9

Розв'язати рівняння (4х+1)(2х-3)=0

У відподь записати суму коренів рівняння.

варіанти відповідей

1

3/4

5/4

4/3

Запитання 10

Одна із сторін прямокутника на 2 см більша за іншу, а його площа 168 см2.

Яке рівняння відповідає розв'язку даної задачі

варіанти відповідей

х2+2х+168=0

х2+2х−168=0

2(х+2)+2х=168

(х+2)2-168=0

Запитання 11

Аналітик встановив, що прибуток компанії описується моделлю  2-5х)2-2(х2-5х)-24=0. Який метод найдоцільніше використати для розв'язання цього рівняння?

варіанти відповідей

Графічний метод

Метод введення нової змінної (t=х2-5х)

Метод розкладання на множники

Пряме піднесення до четвертого степеня

Запитання 12

Катер пройшов 15км проти течії і 6км за течією, затративши на весь шлях стільки ж часу, скільки йому було б потрібно, якби він їхав 22 км по озеру. Яка власна швидкість катера, якщо швидкість течії річки дорівнює 2км/год?


варіанти відповідей

20 км/год

15 км/год

22 км/год

24 км/год

Запитання 13

Два 3D-принтери, працюючи разом, можуть надрукувати замовлення за 4 години. Перший принтер може виконати цю роботу на 6 годин швидше, ніж другий. Складіть дробово-раціональне рівняння для пошуку часу роботи першого принтера (х).

варіанти відповідей

х+(х+6)=4

1/х+1/(х+6)=4

1/х+1/(х+6)=1/4

4/х-4/(х+6)=1

Запитання 14

Дизайнер розробляє проєкт клумби, площа якої описується рівнянням  х4-13х2+36=0 , де х — параметр розмітки. Яку заміну слід використати, щоб звести це біквадратне рівняння до квадратного?

варіанти відповідей

t=x4

t=x2

t=x

t=13x

Створюйте онлайн-тести
для контролю знань і залучення учнів
до активної роботи у класі та вдома

Створити тест