Комплексна підсумкова робота з теми «Зміна агрегатного стану речовини. Теплові двигуни»

Додано: 15 березня
Предмет: Фізика, 8 клас
6 запитань
Запитання 1

Виберіть графік, побудований для речовин, у якої температура плавлення найвища: 

варіанти відповідей

1

2

3

у всіх однакова

Запитання 2

Виберіть агрегатний стан, у якому знаходиться речовина, внутрішня енергія якої в основному зумовлена безладним рухом молекул

варіанти відповідей

рідкий

газоподібний

твердий

будь-який

Запитання 3

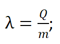
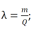
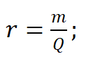
Питому теплоту плавлення визначають за формулою:

варіанти відповідей
Запитання 4

Визначте характер зміни кінетичної енергії молекул під час плавлення:

варіанти відповідей

зменшується;

збільшується;

не змінюється;

спочатку збільшується, потім зменшується.

Запитання 5

Вкажіть, на що витрачається енергія, яку дістає кристалічне тіло, що має температуру плавлення:

варіанти відповідей

руйнування атомів; 

надання атомам кінетичної енергії;

руйнування кристалічних ґраток; 

надання атомам потенціальної енергії.

Запитання 6

Питому теплоту пароутворення визначають за формулою:

варіанти відповідей

Створюйте онлайн-тести
для контролю знань і залучення учнів
до активної роботи у класі та вдома

Створити тест