Контрольна робота №2

Додано: 14 листопада 2025
Предмет: Алгебра, 8 клас
Копія з тесту: Контрольна робота №2
12 запитань
Запитання 1

Виконайте множення:

варіанти відповідей
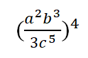
Запитання 2

Піднесіть до степеня дріб

варіанти відповідей
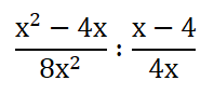
Запитання 3

Виконайте ділення:

варіанти відповідей
Запитання 4

2. Піднесіть до степеня

варіанти відповідей


8а⁶/b⁹


6a⁸/b¹⁰

6a⁶/b⁹

9a⁸/b¹⁰

Запитання 5

3. Оберіть правильний варіант формули ділення дробів


варіанти відповідей
Запитання 6

4. Виконайте ділення


варіанти відповідей
Запитання 7

Розв'яжи рівняння:

варіанти відповідей

х=3

Коренів немає.

х≠-3

Запитання 8

Чи є число 4 коренем рівняння?

варіанти відповідей

Так

Ні

Запитання 9

Оберіть дробово раціональне рівняння:

варіанти відповідей
Запитання 10

Серед наведених оберіть ціле раціональні рівняння:

варіанти відповідей
Запитання 11

Розв'яжи рівняння:

варіанти відповідей

х=⅓

х=-1;1

х=-⅓

Запитання 12

Розв'яжи рівняння:

варіанти відповідей

х=-1

х≠0,5

х=0,5

Створюйте онлайн-тести
для контролю знань і залучення учнів
до активної роботи у класі та вдома

Створити тест