.Раціональні вирази. Раціональні рівняння

Додано: 19 квітня
Предмет: Алгебра, 8 клас
14 запитань
Запитання 1

Виконайте дію:

варіанти відповідей
Запитання 2

Виконайте дію:

варіанти відповідей
Запитання 3

Виконайте дію:

варіанти відповідей
Запитання 4

Виконай дію:

варіанти відповідей
Запитання 5

Виконай дію:

варіанти відповідей
Запитання 6

Виконайте дію:

варіанти відповідей
Запитання 7

Виконайте піднесення до степеня:

варіанти відповідей
Запитання 8

Виконайте піднесення до степеня:

варіанти відповідей
Запитання 9

Спростіть вираз:

варіанти відповідей
Запитання 10

Розв’яжіть рівняння:

варіанти відповідей

х=3

х=4

х=-3

х=-4

Запитання 11

Розв’яжіть рівняння:

варіанти відповідей

х=10

х=5

х=-10

х=-5

Запитання 12

Розв’яжіть рівняння:


варіанти відповідей

y=2

y=3

y=-2

y=-3

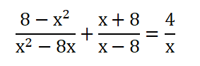
Запитання 13

Розв'язати рівняння:

варіанти відповідей

2

-2

-2; 2

розв'язків немає

Запитання 14

Розв'язати рівняння:

варіанти відповідей

10

- 10

8

розв'язків немає

Створюйте онлайн-тести
для контролю знань і залучення учнів
до активної роботи у класі та вдома

Створити тест