Контрольна робота "Тотожні перетворення раціональних виразів. Раціональні рівняння"

8 запитань
Запитання 1

Виконайте множення:

варіанти відповідей
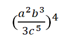
Запитання 2

Піднесіть до степеня дріб

варіанти відповідей
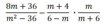
Запитання 3

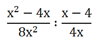
Виконайте ділення:

варіанти відповідей
Запитання 4

Знайдіть частку

варіанти відповідей
Запитання 5

Які з наведених рівнянь рівносильні?

варіанти відповідей
Запитання 6

Розв'яжіть рівняння

варіанти відповідей

24,5

7

-7 і 7

-7

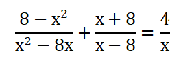
Запитання 7

Розв'яжіть рівняння

Фото розв'язку прикріпити в Classroom


варіанти відповідей

Рівняння не має розв'язку

-10

10

8

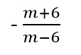
Запитання 8

Спростіть вираз

Фото розв'язку прикріпити в Classroom

варіанти відповідей

Створюйте онлайн-тести
для контролю знань і залучення учнів
до активної роботи у класі та вдома

Створити тест