Контрольна робота з алгебри "Функції, її властивості та графіки", 10 клас

Додано: 4 листопада
Предмет: Алгебра, 10 клас
12 запитань
Запитання 1

Знайдіть значення функції у=х2+3х-2 в точці х0=2

варіанти відповідей

2

-2

8

5

Запитання 2

Нулем (нулями) функції є:

варіанти відповідей

-2

2

2; -2

нулів немає

Запитання 3

Через які точки проходить графік функції у=х3-10х-2

варіанти відповідей

А (-1; 7)

В (1; 7)

С (1; -9)

К (2; -26)

М (-2; 10)

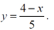
Запитання 4

Знайдіть область визначення функції

варіанти відповідей

[1; +∞)

(1; +∞)

(-∞;1)

(-∞; 1]

Запитання 5

Функція задана графіком. Вкажіть область значень даної функції

варіанти відповідей

[-2; 3]

[-4; 4]

[-1; 3]

[0; 3]

[-2; 2]

Запитання 6

Дано f(x)=(2x-3)2. Знайти f(4)-?

варіанти відповідей

121

-1

25

1

9

Запитання 7

Дослідить функцію f(x)=15x-x3 на парність

варіанти відповідей

непарна

парна

ні парна, ні непарна

визначити неможливо

інша відповідь

Запитання 8

Який з графіків відповідає функції у=х2+1

варіанти відповідей

1 (зелений)

2 (синій)

3 (червоний)

4 (коричневий)

графік даної функції на малюнку відсутній

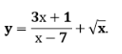
Запитання 9

Знайдіть область визначення функції

варіанти відповідей

(0; +∞)

[-7; 0) ∪ (7; +∞)

[0 ; 7) ∪ (7; +∞)

[-7; +∞)

(7; +∞)

Запитання 10

Знайдіть нулі функції у= 6х2-30х.

варіанти відповідей

0

5

0; 5

-5

0; -5

нулів не має

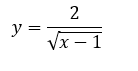
Запитання 11

Укажіть область визначення функції

варіанти відповідей

(-∞;5) ∪ (5; +∞)

(-∞;4) ∪ (4; +∞)

(-∞; +∞)

(4;5)

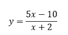
Запитання 12

Знайдіть область визначення функції

варіанти відповідей

[3; +∞)

(-∞; 3)

(-∞; -3]

[-3; +∞)

(-∞;3]

Створюйте онлайн-тести
для контролю знань і залучення учнів
до активної роботи у класі та вдома

Створити тест