Контрольна робота з алгебри за ІІ семестр ( 8 клас ( сімейне навчання))

Контрольна робота може бути запропонована для учнів, які навчаються на сімейній (домашній) формі навчання або як підсумкова контрольна робота за рік. Включені теми: «Квадратні корені. Дійсні числа», «Квадратні рівняння», «Розв’язування рівнянь, які зводяться до квадратних» .

Додано: 16 квітня
Предмет: Алгебра, 8 клас
30 запитань
Запитання 1

Обчислити значення виразу

варіанти відповідей

19

155

-1

9 - √15

√15 - 9

2√13 + 2√15

Запитання 2

число √51 міститься між числами:

варіанти відповідей

5 і 6

6 і 7

7 і 8

8 і 9

Запитання 3

Скільки коренів має рівняння:   х2 - 9 = 0

варіанти відповідей

Жодного

1

2

Безліч

Запитання 4

Укажіть число, яке є ірраціонльним: 

варіанти відповідей

√1

3,14 

-2,77

√8

Запитання 5

Через яку точку проходить графік функції у = √х

варіанти відповідей

(2; 4)

(1; 2)

(4; 2)

(1; - 1)

Запитання 6

Графіком якої функції є гіпербола?

варіанти відповідей

у = х

у = х2

у = √х

у = 1 / х

Запитання 7

Розв'яжіть рівняння √х - 4 = 0

варіанти відповідей

2

4 і -4

4

16

Запитання 8

Винесіть множник з-під знака корня: √18

варіанти відповідей

2√3

3√2

2√6

3√6

Запитання 9

Внесіть множник під знак корня: 4√5

варіанти відповідей

√40

√20

√80

√100

Запитання 10

Розв'яжіть рівняння:(вкажіть правильну відповідь)

варіанти відповідей

А

Б

В

Г

Д

Запитання 11

Подайте у вигляді степеня вираз:

варіанти відповідей

2

√8 / 2

√8 / √2

4

Запитання 12

Чому дорівнює значення виразу? (оберіть правильну відповідь)

варіанти відповідей

А

Б

В

Г

Д

Запитання 13

Обчислити:

варіанти відповідей

А

Б

В

Г

Д

Запитання 14

При яких значеннях параметра b рівняння має єдиний корінь? Якщо таких значень декілька, у відповіді вкажіть їх суму.

варіанти відповідей

А

Б

В

Г

Д

Запитання 15

Розв'яжіть рівняння:

варіанти відповідей

А

Б

В

Г

Д

Запитання 16

Один з коренів рівняння

х²-10х + 21=0 дорівнює 3. Знайдіть другий корінь

варіанти відповідей

10

- 7

7

- 6

Запитання 17

Чому дорівнює сума коренів рівняння

х²-5х +2 =0

варіанти відповідей

2

5

- 2

- 5

Запитання 18

Серед поданих многочленів укажіть квадратний тричлен (виберіть всі

можливі варіанти)

варіанти відповідей

3x2 +2x-7

  2х-3x+2

5x3 +2x2 -3

x3 -2х-16

 -2x+5x2 -7

 2+3x+2х4

Запитання 19

Скільки коренів має квадратний тричлен 2х2-5х+3?

варіанти відповідей

0

1

2

безліч

Запитання 20

Розкладіть квадратний тричлен х2 - 5х + 4 на множники

варіанти відповідей

(х -4)(х +1)

 (х+4)( х -1)

 (х +1)(х +4)

(х -1)(х -4)

неможливо розкласти

Запитання 21

Які з квадратних рівнянь є неповними?

варіанти відповідей

 3х2+2х-44=0

 2х-4х2=0

16х2=0

 5х3+9х=0

2- 23=0

  5х+3х2-12=0

Запитання 22

Розв'яжіть рівняння: х4 + 7х2 - 18 = 0

варіанти відповідей

  -3; 3

-3;- √2; √2; 3 

- √2; √2

визначити не можливо

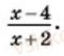
Запитання 23

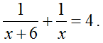
Розв'яжіть рівняння:

варіанти відповідей

2

- 2; 3

-3; 2

3

-2

Запитання 24

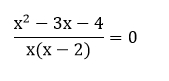
Розв'яжіть рівняння

варіанти відповідей

х = 4, х = -1

  х = - 4, х = -1

  х = 4, х = -1

  х = - 4, х = 1, х =2, х = 0

х = - 4, х = 1

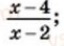
Запитання 25

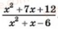
Скоротити дріб:

варіанти відповідей
Запитання 26

Розв’яжіть задачу:

Басейн заповнюється двома трубами за 4 год. Перша труба може наповнити басейн на 6 год швидше, ніж друга. За який час зможе наповнити басейн кожна труба, працюючи окремо?

Побудуйте математичну модель задачі:

Нехай час наповнення басейна першою трубою – х год. За умовою задачі складаємо рівняння

варіанти відповідей
Запитання 27

Розв’яжіть задачу:

Басейн заповнюється двома трубами за 2 год. Перша труба може наповнити басейн на 3 год швидше, ніж друга. За який час зможе наповнити басейн кожна труба, працюючи окремо?

Визначіть відповідь до задачі

Нехай час наповнення басейна першою трубою – х год.

варіанти відповідей

 3 год і 4 год.    

3 год і 6 год

1 год і 4 год

2 год і 3 год

2 год і 5 год

Запитання 28

Знайдіть значення виразу: √360 * √490

варіанти відповідей

 42

420

4200

42√10

Запитання 29

Знайти значення виразу: √152 +√(-13)2 +(√3)2

варіанти відповідей

5

37

31

32

Запитання 30

Звільнитися від ірраціональності в знаменнику дробу 4 / (√6+√2)

варіанти відповідей

 2(√6 - √2) 

2(√6 + √2)

 1/2

 √6 - √2

Створюйте онлайн-тести
для контролю знань і залучення учнів
до активної роботи у класі та вдома

Створити тест