Контрольна робота за І семестр з алгебри 8 клас

Додано: 10 грудня 2022
Предмет: Алгебра, 8 клас
Тест виконано: 30 разів
7 запитань
Запитання 1

Скільки елементів містить множина букв у слові "алгебра"?

варіанти відповідей

3

4

5

6

7

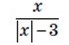
Запитання 2

При яких значеннях змінної х вираз не має змісту?

варіанти відповідей

-3; 0; 3

-3

3

таких значень немає

-3; 3

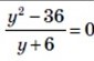
Запитання 3

Знайдіть корені рівняння

варіанти відповідей

6

-6

-6; 6

-36; 36

Коренів немає

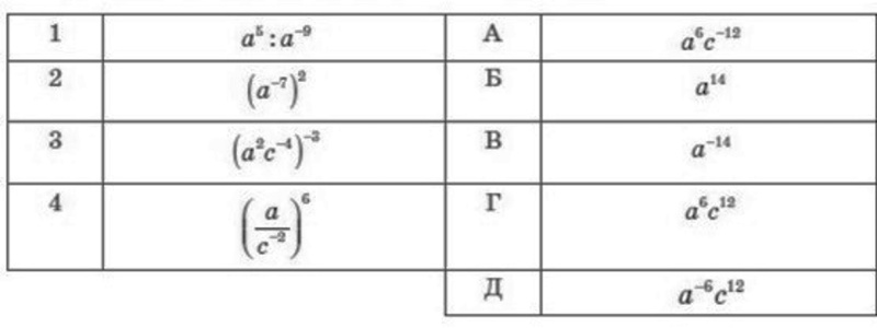
Запитання 4

Установіть відповідність між заданими виразами (1-4) та виразами, що їм тотожно дорівнюють (А-Д)


варіанти відповідей

1-А; 2-Г; 3-Д; 4-В

1-Б; 2-В; 3-Д; 4-Г

1-Б; 2-Д; 3-Г; 4-А

1-Б; 2-В; 3-Д; 4-А

Запитання 5

Знайдіть НСД (4757 : 5561)

варіанти відповідей

103

72

67

84

5

Запитання 6

Теплохід пройшов 28 км проти течії і повернувся назад, витративши на зворотний шлях на 4 хв менше. Знайдіть швидкість теплохода в стоячій воді, якщо швидкість течії дорівнює 1 км/год.

варіанти відповідей

29 км/год

28 км/год

27 км/год

26 км/год

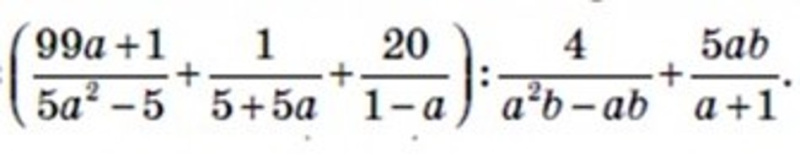
Запитання 7

Спростіть вираз

варіанти відповідей

4а+b

0

1

-4ab

Створюйте онлайн-тести
для контролю знань і залучення учнів
до активної роботи у класі та вдома

Створити тест