Контрольна робота зтеми "Квадратний тричлен. Розв'язування рівнянь, що зводяться до квадратних"

9 запитань
Запитання 1

Розкласти на лінійні множники квадратний тричлен:

2 - 11х + 6.

варіанти відповідей

 3(х - 3)(х - ⅔).

 3(х - ⅔)(х + 3 ).

 3(х - 3)(х + ⅔).

 3(х + ⅔)(х + 3).

Запитання 2

Розв'язати рівняння: х4 - 24х - 25 = 0.

варіанти відповідей

-1; 25.

-5; -1; 1; 5.

-5; 5.

-1; 1.

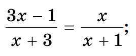
Запитання 3

Розв'язати рівняння:

варіанти відповідей

-7; 8.

8.

-8.

7; -8.

Запитання 4

Розв'яжіть задачу, склавши рівняння.

Катер проплив 45 км за течією і 7 км проти течії, витративши на весь шлях 3 години. Яка власна швидкість катера, якщо швидкість течії 2 км/год ?


варіанти відповідей

6 км/год

 

 16 км/год


 10 км/год

 

 18 км/год

Запитання 5

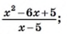
Скоротіть дріб:

варіанти відповідей

х+5

х-5

х+1

х-1

Запитання 6

Периметр земельної ділянки, що має форму прямокутника, дорівнює 54 м, а її площа - 180 м2.

Яке з рівнянь відповідає умові задачі, якщо через х позначено одну зі сторін прямокутника?

варіанти відповідей

х(54-х)=180

   

   х(х-54)=180

  

  х(27-х)=180

  

  х(х-27)=180

  

  х+(54-х)=180

   

   х+(27-х)=180

Запитання 7

Відстань 360 км швидкий поїзд проїхав на 2 години швидше, ніж товарний. Знайдіть швидкість швидкого поїзда, якщо вона на 30 км/год більша, ніж товарного.

варіанти відповідей

60 км/год

 

 90 км/год

  

  80 км/год

  

  70 км/год

 

 100 км/год

Запитання 8

Розв'яжіть рівняння: х - √х -12 =0

варіанти відповідей

3; 4


 -2; 2

 

 16

 

 9; 16

Запитання 9

Знайдіть корені рівняння:

варіанти відповідей

-0,5; 1

 

 0,5; -1

 

 0,5; 1

 

 -0,5; -1

Створюйте онлайн-тести
для контролю знань і залучення учнів
до активної роботи у класі та вдома

Створити тест