Самостійна робота 12. Алгебра

Додано: 21 січня
Предмет: Алгебра, 8 клас
11 запитань
Запитання 1

Арифметичним квадратним коренем із числа Х називають:

 

варіанти відповідей

підкореневим числом Х.

квадратний корінь із Х.

невід'ємне число, квадрат якого дорівнює числу Х.

Запитання 2

1. Обчисли √ 64

варіанти відповідей

64

6

32

8

Запитання 3

√ 0,81

варіанти відповідей

0,9

0,09

9

81

Запитання 4

√-225

варіанти відповідей

-15

15

не існує

Запитання 5

√1,69+√0,25

варіанти відповідей

1,3

0,18

1,8

0,65

Запитання 6

√ 72

варіанти відповідей

7

14

49

не існує

Запитання 7

Обчисліть:

варіанти відповідей

7/6

6/7

1/6

14/36

1 √13/6

Запитання 8

Знайдіть значення виразу

варіанти відповідей

3

-3

63

87

Запитання 9

Який вираз не має змісту?

варіанти відповідей
Запитання 10

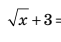
Обчислити

варіанти відповідей

21

33

13

42

Запитання 11

Розв'яжіть рівняння

варіанти відповідей

√3

-√3

√-3

коренів не має

Створюйте онлайн-тести
для контролю знань і залучення учнів
до активної роботи у класі та вдома

Створити тест