квадратний тричлен

Додано: 30 березня
Предмет: Алгебра, 8 клас
9 запитань
Запитання 1

Вкажіть формулу, за якою розкладається квадратний тричлен

варіанти відповідей

ax 2 + bx + c = a(x − x1)(x − x2)

ax 2 + bx + c = b(x − x1)(x − x2)

ax 2 + bx + c = c(x + x1)(x − x2)

ax 2 + bx + c = (x − x1)(x − x2)

Запитання 2

Укажіть корені квадратного тричлена

x 2 − 4x − 12=0

варіанти відповідей

-2; 6

5; -2 

2; -6

2; 6

Запитання 3

Розкладіть на множники квадратний тричлен

x 2 + 12x − 64

варіанти відповідей

(x + 16)(x − 4)

(x + 24)(x − 8)

(x + 32)(x − 2)

(x − 16)(x + 4)

Запитання 4

Розкласти на множники вираз:

варіанти відповідей

(4-а)2

(а+4)2

(а+8)2

(а-4)2

Запитання 5

Розв'язати рівняння:

варіанти відповідей

0,02

0,2

-0,02

-0,2

Запитання 6

Спростіть вираз

варіанти відповідей

4

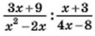
Запитання 7

Знайдіть суму

варіанти відповідей
Запитання 8

Спростіть вираз

варіанти відповідей

12

Запитання 9

Обчисліть:

варіанти відповідей

Створюйте онлайн-тести
для контролю знань і залучення учнів
до активної роботи у класі та вдома

Створити тест