лінійні рівняння

Додано: 2 вересня 2025
Предмет: Математика, 8 клас
24 запитання
Запитання 1

Виберіть рівняння, коренем якого є число 4.

варіанти відповідей

8x=2

2x=-8

2x=8

5x-4=0

-8x=-2

Запитання 2

Спростіть вираз: (а3)4 : а7

варіанти відповідей

a2

а5

а

а19

1

Запитання 3

Яка з наведених рівностей є тотожністю?

варіанти відповідей

(a+b)2=a2+b2

(a+b)(a-b)=(a+b)2

(a+b)2=a2-2ab+b2

(a-b)2=a2-2ab+b2

a2-b2=(a-b)2

Запитання 4

Розкладіть на множники 5y2 - x2+4y2.

варіанти відповідей

(9y-x)(9y+x)

y2 - x2

(5y-x)(х+4у)

(9y - х)2

(3y-x)(3y+x)

Запитання 5

Установіть відповідність між виразами (1-4) і тотожно рівними їм виразами (А-Д).

варіанти відповідей

1. Б

2. Д

3. Г

1. А

2. Д

3. В

1. Д

2. Б

3. Г

1. В

2. А

3. Б

Запитання 6

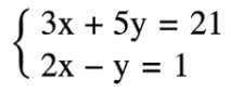
Укажіть пару чисел (x;y), що є розв`язком системи рівнянь

варіанти відповідей

(3;2)

(1;2)

(2;3)

(4;1)

(1;5)

Запитання 7

Який з виразів є одночленом?

варіанти відповідей

4х - у

4ху

4 + ху

4х/у

Запитання 8

Виконайте множення (5х + у)(5х-у)

варіанти відповідей

25х22

25х2 - у2

у2 -25х2

10х2 - у2

Запитання 9

Яке з рівнянь є лінійним?

варіанти відповідей

х2 = 7х

х + 7 = х2

Запитання 10

Подати у вигляді многочлена вираз: (х + 2у)2

варіанти відповідей

х2 + 4у2

х2 + 2ху + 4у2

х2 + 4ху + 4у2

х2 + 8ху +4у2

Запитання 11

Укажіть пару чисел, яка є розвязком рівняння х + у = 5

варіанти відповідей

(-2 ; - 3 )

( 2 ; 3 )

( 2 ; - 3 )

(3 ; - 2)

Запитання 12

Яке з поданих рівнянь не має коренів?

варіанти відповідей

- 5х = 7

0х = 10

0х = 0

3х = 0

Запитання 13

Скільки коренів має рівняння : 0х = 0

варіанти відповідей

жодного

один

два

безліч

Запитання 14

Розкладіть на множники двочлен : 16 - p2

варіанти відповідей

( р - 4) ( р + 4)

(4 - р)2

( 16 - р) ( 16 + р)

(4 + р ) ( 4 - р)

Запитання 15

Подайте у вигляді квадрата двочлена вираз : 9a2 - 6аb + b2

варіанти відповідей

(3a - b)2

(3a - b)(3a +b)

(9a - b)2

(3a +b)2

Запитання 16

За даними рисунка записати розв'язок системи

варіанти відповідей

(1;3)

(3;1)

(5;1)

(-1;3)

Запитання 17

Вкажіть степінь одночлена 2x3y4

варіанти відповідей

4

12

7

Запитання 18

Які із одночленів записані у стандартному вигляді

варіанти відповідей

6a2b4

3x2y5xy3

(5b3c5)2

xy

Запитання 19

Знайдіть корінь рівняння

варіанти відповідей

9

3

5

не знаю

Запитання 20

Які із записів є рівняннями?

варіанти відповідей

4x−12>0

4x+2=10

3x+7

3−2x=1

Запитання 21

Число 3 є розв'язком рівняння:

варіанти відповідей

x+5=8

2x=9

x−4=−1

4x÷3=4

Запитання 22

Яке з чисел є коренем даного рівняння?

варіанти відповідей

0

−2

1

−4

Запитання 23

Укажіть рівняння, коренем якого є будь-яке число:

варіанти відповідей

12x=−8

2(x−1)=2x−2

2x=2x−2

2(x−1)=2x

Запитання 24

Яке з рівнянь не має коренів?

варіанти відповідей

7х=0

0х=7

0х=0

7х=7

Створюйте онлайн-тести
для контролю знань і залучення учнів
до активної роботи у класі та вдома

Створити тест