Множення і ділення раціональних дробів.Піднесення дробу до степеня

Додано: 4 листопада 2025
Предмет: Алгебра, 8 клас
10 запитань
Запитання 1

Виконайте множення:

варіанти відповідей

  1/4

 1/6

 1/3

 1

Запитання 2

Виконайте множення:


варіанти відповідей

 45m²

 27

  32m

  24m

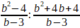
Запитання 3

Піднесіть до степеня:


  

 

варіанти відповідей

 8а⁶/b⁹

 6a⁶/b⁹

 6a⁸/b¹⁰

  9a⁸/b¹⁰

Запитання 4

Виконайте множення:


 

 

  

варіанти відповідей

 21/x²

 45/x

21x

 45x²

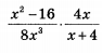
Запитання 5

Cпростіть вираз:


варіанти відповідей

(х+4)/2х²

1/x

(х-4)/2х²

  2

Запитання 6

Виконайте ділення:


 

варіанти відповідей

1

2

 n+3

 1/2

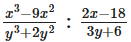
Запитання 7

Виконайте ділення:

 

 

варіанти відповідей

 (b-2)/(b+2)

 b+2

 b-2

 3 

Запитання 8

Виконайте ділення:


 

  

 

  

варіанти відповідей

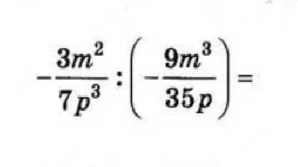
3/2

 p2/6

p/6

2/3

Запитання 9

Виконайте ділення:

варіанти відповідей
Запитання 10

Знайдіть значення виразу, якщо y=0,5, x=20

.

варіанти відповідей

1500

 166 2⁄3

2400

 1066 2⁄3

Створюйте онлайн-тести
для контролю знань і залучення учнів
до активної роботи у класі та вдома

Створити тест