КР Множення і ділення звичайних дробів

Додано: 20 листопада 2025
Предмет: Математика, 6 клас
11 запитань
Запитання 1

Виконай множення: ¼ ⋅ ⁸∕₁₃ =

варіанти відповідей

²∕₁₃

¹∕₁₃

¹∕₂₆

⁴∕₁₃

Запитання 2

Обчисли: ¹⁵∕₂₈ ∶ ⁵∕₇ =

варіанти відповідей

1 ⅓

⁷⁵∕₁₉₆

³∕₇

³∕₄

Запитання 3

Учень має розв'язати 12 задач. Першого дня він розв'язав цієї кількості. Скільки задач розв'язав учень першого дня?


варіанти відповідей

15 задач

10 задач

8 задач

9 задач

6 задач

Запитання 4

Велосипедист проїхав 18 км, що становить відстані від села до міста. Яка відстань від села до міста?


варіанти відповідей

24 км

36 км

30 км

32 км

45 км

Запитання 5

Знайди добуток: ²∕₇ ⋅ 1 ²∕₅ =

варіанти відповідей

²∕₅

³∕₅

1 ⁴∕₇

1 ⁴∕₁₂

⁵∕₇

Запитання 6

Знайди добуток: 2 ⁷∕₁₀ ⋅ 2 ½ =

варіанти відповідей

6 ¾

5 ¾

4 ¼

4 ½

6 ½

Запитання 7

Знайди частку: 7 ¹∕₁₂ ∶ ⅚ =

варіанти відповідей

9 ½

8 ½

7 ⅕

8 ¾

7 ½

Запитання 8

Знайди частку: 2 ⅘ ∶ 1 ¾ =

варіанти відповідей

2 ⅗

1 ⅗

2 ⅕

2⅖

Запитання 9

Знайди значення виразу:

варіанти відповідей

1 ⅓

1 ½

1 ⅔

1 ¾

1 ⅙

1 ⅘

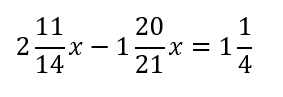
Запитання 10

Розв'яжи рівняння:

варіанти відповідей

2 ½

2 ⅓

1 ½

1 ⅔

Запитання 11

З двох міст одночасно назустріч один одному вирушили два поїзди.  Швидкість одного з них -  64 км/год,  а  другого -  в 1⅓ раза менша.  Якою буде відстань між поїздами через 1¹∕₁₀ години після початку руху,  якщо відстань між містами 207 км?



варіанти відповідей

82,4 км

82,7 км

83,9 км

83,8 км

82,5 км

82 км

Створюйте онлайн-тести
для контролю знань і залучення учнів
до активної роботи у класі та вдома

Створити тест