Моніторинг навчальних досягнень з математики (9 клас)

Додано: 17 квітня
Предмет: Математика, 9 клас
11 запитань
Запитання 1

1.  На рисунку зображено графік y=f(x), визначеної па проміжку. Користуючись графіком знайдіть множину розв’зків нерівності f(x)<0.

варіанти відповідей

[-5;3]

(-5;3)

(3;6)

(-5;3) ⋃ (6;7)

[-5;3] ⋃[6;7]

Запитання 2

2. Оцініть значення виразу х + 3, якщо 2 < х < 7.

варіанти відповідей

5 < х + 3 < 7;

2 < х + 3 < 10;

5 < х < 10;

5 < х + 3 < 10.  

Запитання 3

3. Знайдіть значення функції y=x2 -5  у точці x0=-2.

варіанти відповідей

1

-1

9

-7

Запитання 4

4. Яка з послідовностей є арифметичною прогресією?

варіанти відповідей

3, 6, 9, 12;      

4, 8, 16, 32;        

10, 20, 30, 50;         

2, -6, 18, -54.

Запитання 5

5. Знайти координати середини відрізка СД, якщо С(-2;4), Д (8;10).

варіанти відповідей

(6;14);   

(5;7);

(3;7);    

(-3;7).

Запитання 6

6. Обчисліть модуль вектора ā (-2;3)

варіанти відповідей

5

√5

1

√13

Запитання 7

7. Розв'язати нерівність: 8x+2<9x-3

варіанти відповідей

x∈(5;+∞)

x∈(-∞;5)

x∈(-∞;-1)

x∈(-1;∞)

Запитання 8

8. Коло задане рівнянням (x-2)2+(y+5)2=13. Як розташована точка В(4;-1) відносно цього кола?

варіанти відповідей

належить цьому колу;

розташована поза колом;

розташована в середині цього кола;

встановити неможливо.

Запитання 9

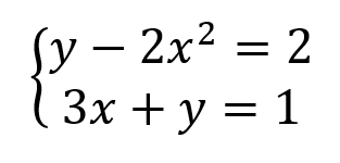
9. Розв'язати систему рівнянь:

варіанти відповідей

(-1;4);

(-½;2½)

(-1;2); (-½;4)

(-1;4); (-½;2½)

Запитання 10

10. Знайдіть різницю арифметичної прогресії, перший член якої дорівнює 8,5, а сума шістнадцяти перших членів становить 172.

варіанти відповідей

0,3

67,5

0,(3)

67

Запитання 11

11. Чотирикутник ABCD - паралелограм, А(-2;-2), С(4;1), D(-1;1). Знайдіть координати вершини B.

варіанти відповідей

B(-1;0)

B(-3;1)

B(2;-3)

B(3;-2)

Створюйте онлайн-тести
для контролю знань і залучення учнів
до активної роботи у класі та вдома

Створити тест