Нерівності

Додано: 15 березня
Предмет: Алгебра, 11 клас
10 запитань
Запитання 1

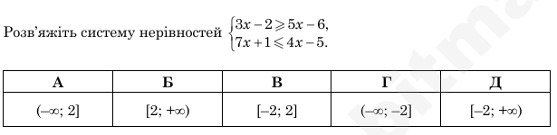
1.

варіанти відповідей

А

Б

В

Г

Д

Запитання 2

2

варіанти відповідей

А

Б

В

Г

Д

Запитання 3

3

варіанти відповідей

А

Б

В

Г

Д

Запитання 4

4

варіанти відповідей

А

Б

В

Г

Д

Запитання 5

5

варіанти відповідей

А

Б

В

Г

Д

Запитання 6

6

варіанти відповідей

А

Б

В

Г

Д

Запитання 7

7.

варіанти відповідей

А

Б

В

Г

Д

Запитання 8

8

варіанти відповідей

А

Б

В

Г

Д

Запитання 9

9

варіанти відповідей

А

Б

В

Г

Д

Запитання 10

10

варіанти відповідей

А

Б

В

Г

Д

Створюйте онлайн-тести
для контролю знань і залучення учнів
до активної роботи у класі та вдома

Створити тест