Первісна.Інтеграл

Додано: 20 січня 2025
Предмет: Алгебра, 11 клас
12 запитань
Запитання 1

Яка з функцій є первісною для f(х)=4

варіанти відповідей

F(х)=4х - 3

F(х)=х4 + 3

F(х)=4х2 +1

F(х)=4

Запитання 2

Знайти первісну для функції f(х)=х + 6

варіанти відповідей

F(х)= 1 + С

F(х)=х2 + 6х + С

F(х)=½х2 + 6х + С

F(х)=½х2 + 6 + С

Запитання 3

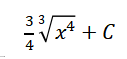
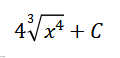
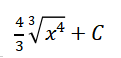
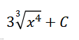
Укажіть первісну для функції:

варіанти відповідей
Запитання 4

Знайти загальний вигляд первісних для функції f(x)=x10 - x8 + x + 13

варіанти відповідей

F(x)=10x9- 8x7+ 1+ C

F(x)=x11/11 - х9/9 + х2/2+ 13х+ С

F(x)= x11/11 - х9/9 + х2/2+ 13+ С

F(x)=11x11- 9x9+ 2x2+13x+ C

Запитання 5

Первісною для функції у = 2/х є ...

варіанти відповідей

2ln|x| + c

1:(2ln|x|) + c

 2x + c

ln|x| + c

Запитання 6

Знайти загальний вигляд первісних для функції f(x) = 6х2  cos x

варіанти відповідей

F(x) = 12x + sin x + C

F(x) = 12x sin x + C

F(x) = 2x3 + sin x + C

F(x) = 2x3  sin x + C

Запитання 7

Укажіть загальний вигляд первісної функції f(x)=ex-5x⁴ на проміжку (-∞;+∞)

варіанти відповідей

ex+C

ex-20x³+C

ex-x⁵+C

ex-5x³+C

Запитання 8

Яка з поданих функцій є первісною функції f(x)=5x?

варіанти відповідей

F(x)=5x/ln5

F(x)=5xln5

F(x)=5x

F(x)=5x/ln x

Запитання 9

Яка з наведених функцій є первісною для функції

f(x)=x-3?

варіанти відповідей

F(x)=-1/2x²

F(x)=-1/4x⁴

F(x)=-2/x⁵

F(x)=-3/x³

Запитання 10

Знайти ∫(3sinx + 4cosx)dx

варіанти відповідей

-4cosx+3sinx+С

 4sinx-3cosx+С

3cosx+4sinx+С

3cosx-4sinx+С

Запитання 11

Знайти всі первісні для функції у = х5 + ∛х

варіанти відповідей

х6∕6 +3х∛х⁄4 + С

х5∕5 + ∜х + С

х6⁄6 + ∛х⁄3 + С

6∕6 + 3х3 + С

Запитання 12

Знайдіть невизначений інтеграл ∫х9dx

варіанти відповідей

x10 + C

x8 + C

x8∕ 8 + C

x10⁄ 10 +C

Створюйте онлайн-тести
для контролю знань і залучення учнів
до активної роботи у класі та вдома

Створити тест