Первісна та її властивості

Додано: 19 грудня 2025
Предмет: Алгебра, 11 клас
11 запитань
Запитання 1

Первісною для у = 8 є:

варіанти відповідей

8x

8+c

8x+c

0

Запитання 2

Первісною для у = sinx є:

варіанти відповідей

cosx

-sinx+c

-sinx

-cosx+c

Запитання 3

Первісною для у = 1/x є:

варіанти відповідей

-1/x2+c

lnx

ln|x|+c

1+c

Запитання 4

Первісною для у =1/cos2x є:

варіанти відповідей

-ctgx+c

-tgx+c

-1/sin2x+c

tgx+c

Запитання 5

Первісною для у = ∜x3 є:

варіанти відповідей

x∜x3+c

7x∜x3/4+c

4x∜x3/7+c

1/x∜x3+c

Запитання 6

Знайти для функції f(x)=5x4+3x2-7

 первісну, графік якої проходить через т. А (1;-4).


варіанти відповідей

F(x)=20x3+6x-12

F(x)=x5+x3-7x+1

F(x)=x5+x3-7x+c

F(x)=20x3+6x-7+c

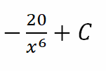
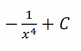
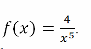
Запитання 7

Укажіть загальний вид первісних для функції


варіанти відповідей
Запитання 8

Первісною для функції у = 5/х є ...

варіанти відповідей

1/5ln|x| + c

5x + c

5ln|x| + c

ln|x| + c

Запитання 9

Скільки первісних може мати функція?

варіанти відповідей

Один

Безліч

Два

Неможливо відповісти

Запитання 10

Яка з наведених функцій є первісною функції f(x)=x4.

варіанти відповідей

F(x)=4x3

F(x)=¼ x4

F(x)=⅕ x5

F(x)=x5

Запитання 11

Знайдіть загальний вираз первісної функції f(x) = x - 4.

варіанти відповідей

x2-4x+C

½ x2-4x+C

4x3-4+C

4x2+C

Створюйте онлайн-тести
для контролю знань і залучення учнів
до активної роботи у класі та вдома

Створити тест