Первісна, визначений інтеграл НМТ

Додано: 6 березня 2025
Предмет: Алгебра, 11 клас
25 запитань
Запитання 1

У якому з наведених випадків функція F є первісною для функції f ?

варіанти відповідей

 f(x)= sinx, F(x)= cosx

f(x) =x, F(x) =1

 f(x)= cosx, F(x)=sinx

усі варіанти неправильні

Запитання 2

Знайдіть загальний вигляд первісної ƒ(х)=sin2х

варіанти відповідей

-½cos2x+c

½cos2x+c

-cos2x+c

-½cos2x

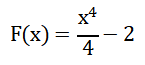
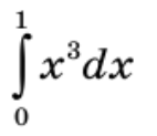
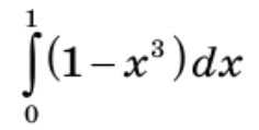
Запитання 3

Обчислити і вибрати правильну відповідь

варіанти відповідей

1

2

0

4

8

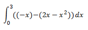
Запитання 4

Обчислiть площу зафарбованої фiгури, зображеної на малюнку.

варіанти відповідей

7/3 кв.од.

4/3 кв.од.

2 кв.од.

3,5 кв.од.

5/3 кв.од.

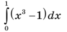
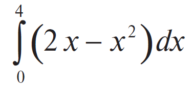
Запитання 5

На малюнку зображено графiки функцiй y = x2 та y = 2x. Укажiть формулу для обчислення площi зафарбованої фiгури.

варіанти відповідей
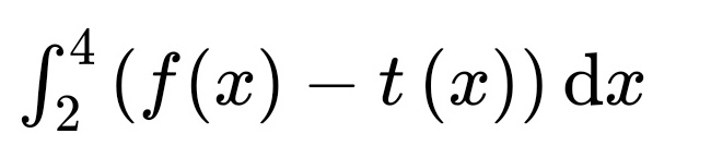
Запитання 6

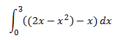
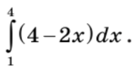
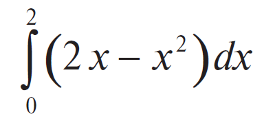
Обчислiть значення інтеграла

варіанти відповідей

3

–3

–6

6

0

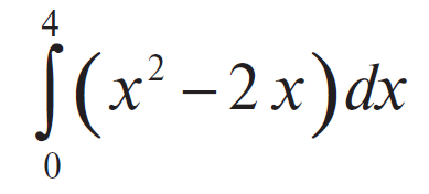
Запитання 7

Обчислiть значення інтеграла

варіанти відповідей

−3,5

4,5

−7,5

0,5

−1,5

Запитання 8

Знайдiть загальний вигляд первiсної для функцiї

f(x) = 6x2 − cosx.

варіанти відповідей

12x + sinx + C

12x − sinх + C

2x3 + sinx + C

2x3 − sinx + C

18x3 + sinx + C

Запитання 9

Знайдiть загальний вигляд первiсної для функцiї

f(x) = 4x3 − 9x2 +1.

варіанти відповідей

2/3 − 9x/2 + C

12x2 − 18x + C

x4 − 3x3 + x + C

16x4 − 27x3 + x + C

x4 − 3x3 + C

Запитання 10

На рисунку зображено графіки функцій y=x/2 та y=√x. Укажіть формулу для обчислення площі зафарбованої фігури.

варіанти відповідей
Запитання 11

Використовуючи формулу Ньютона - Лейбніца, обчисліть первісну функції у = х2, визначену на відрізку [0; 2], відповідь заокруглити до цілої частини

варіанти відповідей

27

3

81

9

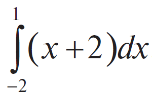
Запитання 12

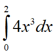
Обчисліть визначений інтеграл

варіанти відповідей

4

-4

8

16

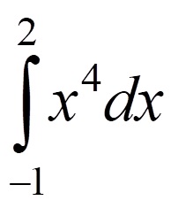
Запитання 13

Знайти загальний вигляд первісних для функції f(x)= 6х2 -cosx

варіанти відповідей

F(x) =12x + sinx + C

F(x) =12x - sinx + C

F(x) =2x3 + sinx + C

F(x) =2x3 - sinx + C

Запитання 14

Обчисліть визначений інтеграл

варіанти відповідей

36

31

33

6,2

6,6

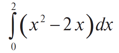
Запитання 15

Запишіть за допомогою інтеграла площу зафарбованої фігури на рисунку

варіанти відповідей
Запитання 16

Обчисліть інтеграл

варіанти відповідей

5

- 5

- 3

3

Запитання 17

За допомогою якого виразу можна обчислити площу заштрихованої фігури

варіанти відповідей
Запитання 18

Обчисліть інтеграл

варіанти відповідей

1

0

-1

0.5

Запитання 19

Укажіть загальний вигляд первісної для функції у =4 ∕ х

варіанти відповідей

ln |4x | + C

4 ln |x | + C

¼ ln |x | + C

2x2

Запитання 20

Укажіть первісну для функції:

варіанти відповідей
Запитання 21

Використавши формулу

Ньютона -Лейбніца, обчисліть

варіанти відповідей

12

24

21

27

Запитання 22

За якою формулою можна знайти площу фігури, зображеної на малюнку?

варіанти відповідей
Запитання 23

Для функції f(х)=5 + 6х - 9х2 знайти первісну, що задовільняє умові F(-3)=100

варіанти відповідей

F(х)= 5х + 3х2 - 3х3 + 7

F(х)=5х + 6х2 - 9х3 +7

F(х)=5х + 3х2 - 3х3 + 100

F(х)=5х + 3х2 - 3х3 +169

Запитання 24

Знайти первісну функції f(х)=4х + 1, один із нулів якої дорівнює -4

варіанти відповідей

F(х)=2х2 +х - 28

F(х)=2х2 + х + 28

F(х)=2х2 + х +4

F(х)=2х2 + х - 4

Запитання 25

Вкажіть, яка з наведених функцій є первісною f(x)=x5

варіанти відповідей

Створюйте онлайн-тести
для контролю знань і залучення учнів
до активної роботи у класі та вдома

Створити тест